| 查看: 5770 | 回复: 13 | ||
| 当前只显示满足指定条件的回帖,点击这里查看本话题的所有回帖 | ||
121785832金虫 (正式写手)
|
[求助]
三方晶体的晶胞体积怎么计算?应该有公式的吧?
|
|
|
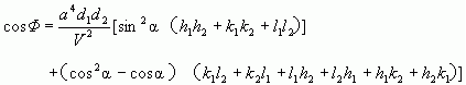
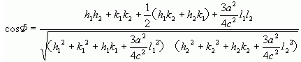
最近测了一个SAED,需要计算晶面夹角,所得到的晶体用XRD表征后确定是三方晶系,在计算夹角的时候,需要晶胞体积这个变量,知道晶胞参数,如何算三方晶系的晶胞体积,感觉是应该有计算公式的 顺便问一下:三方晶系是不是所有的都是a=b=c α=β=γ<120不等于60,90 因为在看有的三方晶系的XRD卡片的时候,发现有的是a=b不等于c,不太懂,求高人指点! |
» 猜你喜欢
中南大学易小艺课题组诚招2026申请-考核制博士生
已经有0人回复
海南师范大学招收化学博士(光电功能材料课题组招收博士研究生)
已经有10人回复
无机化学论文润色/翻译怎么收费?
已经有242人回复
求助几个团簇的cif
已经有0人回复
急求该反应的详细机理
已经有3人回复
» 本主题相关价值贴推荐,对您同样有帮助:
在解析晶体结构时,有没有什么方法把晶胞参数的a,b,c三个值的其中一个减小半?
已经有11人回复
问一下 a×b×c 一定要写成 (a×b)×c 么
已经有3人回复
如何算一个晶胞含有多少个原子
已经有7人回复
两晶面夹角计算
已经有7人回复
密排六方晶体(10-11) 晶面的特点
已经有7人回复
晶体如何从小的单胞长到大的完美晶体的?
已经有5人回复
晶胞自由体积的求算,要用MS中的那个模块求算啊?
已经有6人回复
几种常见晶体的晶胞3D可操作模型
已经有65人回复
求四方晶型Bi2O2CO3的晶胞参数,以便用ms作晶胞结构图
已经有12人回复
做MD计算时系综NVT中体积不变 但是这个体积怎么规定的 有具体大小吗?
已经有4人回复
在计算的世界里,给你1eV,你能做什么?
已经有101人回复
Gaussian 09 计算出来的chk文件无法转化成fchk文件,求高手指教!
已经有9人回复
请问单斜晶系晶胞参数偏小,是什么原因
已经有9人回复
计算单位晶胞的分子数时用到了1.66042,请问这是什么常数
已经有3人回复
求助castep计算中:晶胞总能量E 与晶胞体积V 的关系图如何得到,看内容
已经有24人回复
【求助】水泥体积安定性不合格,则不能用回弹法检测混凝土强度,为什么呢?
已经有12人回复
121785832
金虫 (正式写手)
- 应助: 7 (幼儿园)
- 金币: 1123.4
- 散金: 616
- 红花: 1
- 帖子: 304
- 在线: 116.3小时
- 虫号: 654018
- 注册: 2008-11-14
- 专业: 无机材料化学
3楼2012-06-14 09:15:20
121785832
金虫 (正式写手)
- 应助: 7 (幼儿园)
- 金币: 1123.4
- 散金: 616
- 红花: 1
- 帖子: 304
- 在线: 116.3小时
- 虫号: 654018
- 注册: 2008-11-14
- 专业: 无机材料化学
送鲜花一朵 |
我想知道比如说下面这个卡片 PDF#71-1682: QM=Calculated; d=Calculated; I=Calculated Heazlewoodite, syn Ni3 S2 Radiation=CuKa1 Lambda=1.54060 Filter= Calibration= d-Cutoff=17.7 I/Ic(RIR)=2.79 Ref= Calculated from ICSD using POWD-12++ (1997) Rhombohedral - Powder Diffraction, R32 (155) Z=3 mp= Cell=5.7465x7.1349 Pearson=hR5 (Ni3 S2) Density(c)=5.865 Density(m)=5.870 Mwt=240.22 Vol=204.04 F(27)=999.9(.0001,27) 这里面的Vol=204.04是晶胞体积吧?单位是什么呢?还有就是,怎么会没有αβγ的值呢?Cell=5.7465x7.1349应该是a和c的值吧,为什么不是a=b=c呢,这还算三方晶系么?这个我不太懂,请前辈指点一下吧! |
4楼2012-06-14 11:06:11
121785832
金虫 (正式写手)
- 应助: 7 (幼儿园)
- 金币: 1123.4
- 散金: 616
- 红花: 1
- 帖子: 304
- 在线: 116.3小时
- 虫号: 654018
- 注册: 2008-11-14
- 专业: 无机材料化学
6楼2012-06-14 20:32:02
121785832
金虫 (正式写手)
- 应助: 7 (幼儿园)
- 金币: 1123.4
- 散金: 616
- 红花: 1
- 帖子: 304
- 在线: 116.3小时
- 虫号: 654018
- 注册: 2008-11-14
- 专业: 无机材料化学
7楼2012-06-14 20:54:11
121785832
金虫 (正式写手)
- 应助: 7 (幼儿园)
- 金币: 1123.4
- 散金: 616
- 红花: 1
- 帖子: 304
- 在线: 116.3小时
- 虫号: 654018
- 注册: 2008-11-14
- 专业: 无机材料化学
10楼2012-06-15 12:40:32
121785832
金虫 (正式写手)
- 应助: 7 (幼儿园)
- 金币: 1123.4
- 散金: 616
- 红花: 1
- 帖子: 304
- 在线: 116.3小时
- 虫号: 654018
- 注册: 2008-11-14
- 专业: 无机材料化学
11楼2012-06-15 12:43:30
121785832
金虫 (正式写手)
- 应助: 7 (幼儿园)
- 金币: 1123.4
- 散金: 616
- 红花: 1
- 帖子: 304
- 在线: 116.3小时
- 虫号: 654018
- 注册: 2008-11-14
- 专业: 无机材料化学
13楼2012-06-15 13:41:18









回复此楼
