| 查看: 895 | 回复: 9 | ||
[求助]
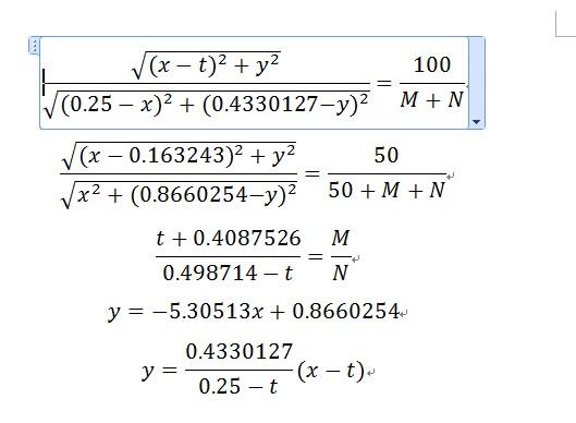
帮忙解一个方程
|
||
|
|
||
|
2楼2012-06-05 17:42:34
|
|
|
|
3楼2012-06-05 20:21:52
|
|
|
dingd铁杆木虫 (职业作家)
|
||
|
4楼2012-06-05 20:26:58
|
|
|
|
5楼2012-06-05 20:32:29
|
|
|
【答案】应助回帖
★ ★ ★ ★ ★ ★ ★ ★ ★ ★ ★ ★ ★ ★ ★ ★ ★ ★ ★ ★
感谢参与,应助指数 +1 xiaobihu: 金币+20, ★★★★★最佳答案 2012-06-06 08:55:03
|
||
|
6楼2012-06-06 06:59:51
|
|
|
zhouone1111金虫 (小有名气)
|
||
|
7楼2012-06-06 07:54:40
|
|
|
|
8楼2012-06-06 08:45:00
|
|
|
|
9楼2012-06-06 08:49:34
|
|
|
|
||
|
10楼2012-06-06 09:08:17
|
|














回复此楼