| 查看: 1253 | 回复: 11 | |
zijingniao金虫 (小有名气)
|
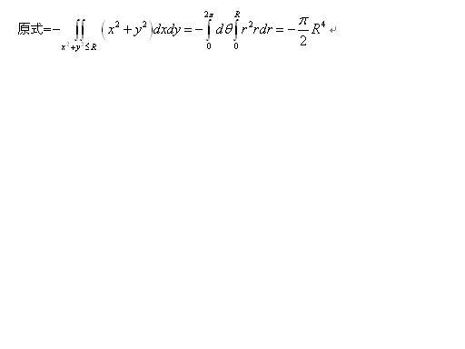
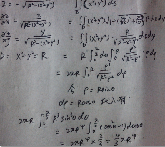
[求助]
高数中的一个计算
|
|
|
|
| 回帖支持 ( 显示支持度最高的前 50 名 ) | |
vect至尊木虫 (著名写手)
|
|
|
9楼2012-05-10 22:45:23
|
|
| 普通回帖 | |
fatkyo捐助贵宾 (著名写手)
|
|
![]() |
|
|
2楼2012-05-10 13:22:20
|
|
lijing.wit金虫 (小有名气)
纳米水手
|
【答案】应助回帖
★
感谢参与,应助指数 +1 zijingniao: 金币+1, ★有帮助, 谢谢 2012-05-11 14:48:56 » 本帖已获得的红花(最新10朵) |
![]() |
|
|
3楼2012-05-10 14:44:08
|
|
zijingniao金虫 (小有名气)
|
|
|
4楼2012-05-10 15:27:29
|
|
|
5楼2012-05-10 18:47:13
|
|
zijingniao金虫 (小有名气)
|
|
|
6楼2012-05-10 20:20:47
|
|
lijing.wit金虫 (小有名气)
纳米水手
|
|
![]() |
|
|
7楼2012-05-10 20:57:25
|
|
zijingniao金虫 (小有名气)
|
|
|
8楼2012-05-10 21:26:51
|
|
到时候银虫 (小有名气)
|
|
![]() |
|
|
10楼2012-05-10 22:46:19
|
|














回复此楼

zijingniao
6