24小时热门版块排行榜    

Znn3bq.jpeg
查看: 534  |  回复: 1

jiyananjida

铜虫 (小有名气)

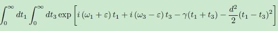
[求助] 高手进,帮忙化简一个二重积分


这个积分中我是想化简成为一个关于w1和w3的式子,可是不知道后面关于t1和t3的部分如何解出来?其他的d,eplison和gamma都是常数。

[ Last edited by jiyananjida on 2012-5-9 at 20:15 ]
回复此楼

» 猜你喜欢

» 本主题相关价值贴推荐,对您同样有帮助:

已阅   回复此楼   关注TA 给TA发消息 送TA红花 TA的回帖

草心肉

铁虫 (正式写手)

【答案】应助回帖

感谢参与,应助指数 +1
你把 t_1 和 t_3 整理到一块 写成 exp^{t_i+c}^2 这种形式
能积出来
2楼2012-05-09 21:21:39
已阅   回复此楼   关注TA 给TA发消息 送TA红花 TA的回帖
相关版块跳转 我要订阅楼主 jiyananjida 的主题更新
最具人气热帖推荐 [查看全部] 作者 回/看 最后发表
[文学芳草园] 献血感触 +6 呀呀好傻 2026-05-19 6/300 2026-05-19 17:23 by kopsia
[基金申请] 评审有感 +10 popular289 2026-05-18 16/800 2026-05-19 14:46 by popular289
[论文投稿] Sci. Bull. 悲剧经验 +4 jyang1999 2026-05-16 4/200 2026-05-19 10:56 by maolC
[考博] 找博士生导师 +6 小代想上岸 2026-05-15 7/350 2026-05-19 10:22 by free_fisher
[教师之家] 上海大学实验技术岗位非升即走 +10 嘻嘻哈哈乐呵呵 2026-05-15 11/550 2026-05-19 10:03 by 嘻嘻哈哈乐呵呵
[基金申请] 别被青基扩招骗了!26年科研内卷才刚刚开始 +3 国自然国社科中 2026-05-14 4/200 2026-05-19 08:48 by archvillain
[考博] 2026博士还有哪些学校有名额 +7 小王求读研 2026-05-15 8/400 2026-05-19 08:27 by zhyzzh
[考博] 云南大学材料与能源学院解琳课题组钙钛矿博士招生 +3 光伏爱好者 2026-05-17 4/200 2026-05-19 01:19 by 风起于浮萍
[考博] 博士申请 +5 星…… 2026-05-18 6/300 2026-05-18 23:49 by 糊糊涂涂好
[基金申请] 面上本子正文33页,违规吗?会被低分嘛? +8 1234567wang 2026-05-17 10/500 2026-05-18 18:52 by zzahkj
[基金申请] 国自然上会要求 +5 无名者登山 2026-05-18 9/450 2026-05-18 17:50 by BlakeReary
[硕博家园] 考博自荐 +5 科研狗111 2026-05-13 6/300 2026-05-18 11:22 by 糊糊涂涂好
[基金申请] 青C资助名额大幅增加! +12 西葫芦炒鸡蛋 2026-05-13 16/800 2026-05-18 10:02 by Equinoxhua
[基金申请] 重磅!青年科学基金项目(C类)资助增幅预计超过50% +7 水和泥不是水泥 2026-05-13 10/500 2026-05-18 07:50 by 水和泥不是水泥
[考博] 光量子物理方向 博士招生 1人(2026.09) +3 sandyworld 2026-05-15 4/200 2026-05-17 14:38 by sandyworld
[高分子] 本人最近太闲了,谁有问题可以提,每天会统一回复 +9 一切都是空工 2026-05-12 20/1000 2026-05-16 19:52 by Equinoxhua
[有机交流] 求有机合成大神指点三硫酸乙烯酯(CAS:2793408-99-6)的合成路线 30+3 Leekmid 2026-05-13 10/500 2026-05-16 16:37 by czyzsu
[有机交流] 如何实现卤原子转化 +3 BT20230424 2026-05-15 5/250 2026-05-16 16:20 by czyzsu
[硕博家园] 申请博士 +3 呃?呃 2026-05-15 3/150 2026-05-16 11:01 by a4742549
[考博] 26应届毕业生考博求助 +3 wo一定上岸 2026-05-13 3/150 2026-05-14 21:47 by 明海天涯
信息提示
请填处理意见