| 查看: 2147 | 回复: 2 | ||
rainbowguy银虫 (正式写手)
|
[求助]
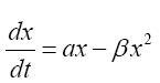
求解一非线性微分方程的解析解?
|
|
|
|
||
|
★ ★ ★ ★ ★ ★ ★ ★ ★ ★ ★ ★ ★ ★ ★ ★ ★ ★ ★ ★
感谢参与,应助指数 +1 rainbowguy: 金币+20, ★★★★★最佳答案 2012-04-22 14:47:32
|
||
|
2楼2012-04-22 11:53:29
|
|
|
醉乡常客木虫 (知名作家)
混之
|
||
![]() |
||
|
3楼2012-04-23 13:08:30
|
|














回复此楼
