版块导航
正在加载中...
客户端APP下载
论文辅导
申博辅导
登录
注册
帖子
帖子
用户
本版
应《网络安全法》要求,自2017年10月1日起,未进行实名认证将不得使用互联网跟帖服务。为保障您的帐号能够正常使用,请尽快对帐号进行手机号验证,感谢您的理解与支持!
24小时热门版块排行榜
>
论坛更新日志
(2545)
>
虫友互识
(486)
>
休闲灌水
(112)
>
导师招生
(102)
>
考博
(101)
>
文献求助
(96)
>
教师之家
(61)
>
找工作
(60)
>
博后之家
(57)
>
硕博家园
(57)
>
论文道贺祈福
(55)
>
论文投稿
(55)
>
基金申请
(51)
>
考研
(43)
>
公派出国
(39)
>
招聘信息布告栏
(29)
小木虫论坛-学术科研互动平台
»
专业学科区
»
数学
»
基础数学
»
求解高次方程!
6
1/1
返回列表
查看: 621 | 回复: 5
只看楼主
@他人
存档
新回复提醒
(忽略)
收藏
在APP中查看
xiaofyfy
新虫
(初入文坛)
应助: 0
(幼儿园)
金币: 110
帖子: 14
在线: 14.5小时
虫号: 1751216
注册: 2012-04-12
专业: 河流海岸动力学与泥沙研究
[
求助
]
求解高次方程!
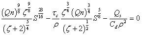
将S求解出来,用其他的字母表示,字母、系数均为正值!
回复此楼
» 猜你喜欢
基金委咋了?2026年的指南还没有出来?
已经有8人回复
拟解决的关键科学问题还要不要写
已经有4人回复
基金申报
已经有5人回复
国自然申请面上模板最新2026版出了吗?
已经有17人回复
纳米粒子粒径的测量
已经有8人回复
疑惑?
已经有5人回复
计算机、0854电子信息(085401-058412)调剂
已经有5人回复
Materials Today Chemistry审稿周期
已经有5人回复
溴的反应液脱色
已经有7人回复
推荐一本书
已经有12人回复
» 本主题相关价值贴推荐,对您同样有帮助:
图形计算器:Graphing Calculator by Mathlab v4.6.111已付费/专业中文版
已经有22人回复
图形计算器:Graphing Calculator by Mathlab v4.6.111已付费/专业中文版
已经有2人回复
Mathematica中求解二元高次方程组
已经有18人回复
求解二元高次复杂方程的方法或软件?或者怎么将它画出平面图来?
已经有4人回复
求解多元非线性高次方程报错
已经有1人回复
中科院--859信号与系统--专业课--真题,供下载
已经有54人回复
求解函时薛定谔方程(TDSE)得到强激光场与原子、分值子相互作用后的高次谐波的程序?
已经有3人回复
求大神帮忙解题啊!!!
已经有4人回复
对分子分母中都含有未知数高次项的方程的求解
已经有1人回复
求解高次方程的问题
已经有0人回复
有关量子化学strudinger方程的求解
已经有9人回复
牛顿到庞卡莱,ODE = NP?——常微分方程发展史和评述 转载
已经有12人回复
求一元高次方程组的最优解问题 万分感谢!
已经有2人回复
重金求助高手解决二元高次方程组MatlAB求解问题
已经有3人回复
强场物理高次谐波产生理论中的“电子谱”与“光子谱”概念是如何区别的?
已经有3人回复
求助!matlab求解一元高次方程的问题!
已经有8人回复
金属热加工图~~功率耗散+功率失稳图!应变速率敏感指数m值的求法~~
已经有29人回复
急用!!!新虫求助有关阶梯轴的优化设计用matlab编程
已经有1人回复
数学青年基金,手工仅查出9个!
已经有55人回复
【分享】10年数2大纲!!
已经有13人回复
【资源】推荐一些经典的Matlab书籍、教程和工具箱免费下载【已搜索无重复】
已经有48人回复
1楼
2012-04-12 10:47:36
已阅
回复此楼
关注TA
给TA发消息
送TA红花
TA的回帖
laosam280
禁虫
(正式写手)
★
感谢参与,应助指数 +1
xiaofyfy: 金币+1,
★
有帮助, 还是十分感谢!
2012-04-12 14:47:33
本帖内容被屏蔽
2楼
2012-04-12 11:56:25
已阅
回复此楼
关注TA
给TA发消息
送TA红花
TA的回帖
xiaofyfy
新虫
(初入文坛)
应助: 0
(幼儿园)
金币: 110
帖子: 14
在线: 14.5小时
虫号: 1751216
注册: 2012-04-12
专业: 河流海岸动力学与泥沙研究
引用回帖:
2楼
:
Originally posted by
laosam280
at 2012-04-12 11:56:25:
既然只有S是未知数,其余全都是已知数,则方程可化简为:
a*S^{23/16}-b*S^{10/16}=c,
其中a,b,c都是已知的系数。进一步,有
a1*X^{23} = b1*X^{10},
其中X=S^{1/16},因此,
X^{13} = b2,
其中b2=b1/a1 ...
a1*X^{23} = b1*X^{10}
a1, b1又等于什么呢?C呢?C只能化简成1,并不能变成0啊
赞
一下
回复此楼
3楼
2012-04-12 12:47:33
已阅
回复此楼
关注TA
给TA发消息
送TA红花
TA的回帖
Love_Matrix
木虫
(正式写手)
应助: 13
(小学生)
金币: 4058
帖子: 984
在线: 341.3小时
虫号: 1684472
注册: 2012-03-12
性别: GG
专业: 粉末冶金与粉体工程
【答案】应助回帖
★
感谢参与,应助指数 +1
xiaofyfy: 金币+1,
★
有帮助, 谢谢!
2012-04-13 11:10:19
数值解就行了,matlab or mathematica,just easy
赞
一下
回复此楼
4楼
2012-04-13 10:37:07
已阅
回复此楼
关注TA
给TA发消息
送TA红花
TA的回帖
xiaofyfy
新虫
(初入文坛)
应助: 0
(幼儿园)
金币: 110
帖子: 14
在线: 14.5小时
虫号: 1751216
注册: 2012-04-12
专业: 河流海岸动力学与泥沙研究
引用回帖:
4楼
:
Originally posted by
Love_Matrix
at 2012-04-13 10:37:07:
数值解就行了,matlab or mathematica,just easy
如果只是想知道S的结果的话,数值解当然可以,只不过我在推导公式,所以还是需要准群解的!
赞
一下
回复此楼
5楼
2012-04-13 11:09:55
已阅
回复此楼
关注TA
给TA发消息
送TA红花
TA的回帖
Love_Matrix
木虫
(正式写手)
应助: 13
(小学生)
金币: 4058
帖子: 984
在线: 341.3小时
虫号: 1684472
注册: 2012-03-12
性别: GG
专业: 粉末冶金与粉体工程
引用回帖:
5楼
:
Originally posted by
xiaofyfy
at 2012-04-13 11:09:55:
如果只是想知道S的结果的话,数值解当然可以,只不过我在推导公式,所以还是需要准群解的!
方程本身已经把关系给出,再推导关系只不过是变换一下形式,最终还是要靠解来得到数值,当你理解了数值,你就不再追求形式
赞
一下
回复此楼
6楼
2012-04-13 13:07:09
已阅
回复此楼
关注TA
给TA发消息
送TA红花
TA的回帖
相关版块跳转
数理科学综合
机械
物理
数学
农林
食品
地学
能源
信息科学
土木建筑
航空航天
转基因
我要订阅楼主
xiaofyfy
的主题更新
6
1/1
返回列表
如果回帖内容含有宣传信息,请如实选中。否则帐号将被全论坛禁言
普通表情
龙
兔
虎
猫
百度网盘
|
360云盘
|
千易网盘
|
华为网盘
在新窗口页面中打开自己喜欢的网盘网站,将文件上传后,然后将下载链接复制到帖子内容中就可以了。
信息提示
关闭
请填处理意见
关闭
确定