| 查看: 453 | 回复: 0 | ||
onwardupward金虫 (正式写手)
Dr.
|
[求助]
求教Rivlin-Ericksen模型方程的各部分参数意义及模型方程的一般形式
|
|
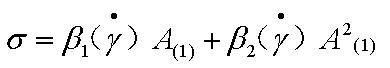
Rivlin-Ericksen模型方程,在稳态简单剪切流场中的形式是: 对于不可压缩流体,若假定应力张量只是A(1)的函数,则公式为: 现在的问题是,Rivlin-Ericksen 模型方程的一般形式是什么样的,各部分参数都代表什么含义。 [ Last edited by onwardupward on 2012-4-5 at 09:41 ] |
» 猜你喜欢
一志愿南航 335分 | 0856 | GPA 4.07 | 有科研经历
已经有8人回复
求调剂
已经有5人回复
求化学调剂
已经有5人回复
085600,材料与化工321分求调剂
已经有10人回复
0703 化学 求调剂,一志愿山东大学 342 分
已经有5人回复
一志愿南开大学0710生物学359求调剂
已经有3人回复
085600,专业课化工原理,320分求调剂
已经有4人回复
材料与化工272求调剂
已经有16人回复
290求调剂
已经有3人回复
327求调剂
已经有3人回复

找到一些相关的精华帖子,希望有用哦~
真心求教,这博读不读!!!
已经有25人回复
R语言图书-求解差分方程和并行计算!
已经有43人回复
用DPM模型时,solution里面会不会有 discrece model方程
已经有4人回复
求教origin拟合简单的渗流方程(又称逾渗方程),做复合材料的应该会遇到吧
已经有20人回复
求回归方程参数估计的最优化算法matlab代码
已经有9人回复
【求助】matlab 求解微分方程中的未知参数
已经有20人回复
λh方程的参数如何求解(一天之内回答加40个金币)
已经有2人回复
【求助】求教 多元指数方程如何解 有软件否?
已经有6人回复
【求助】求教这种微分方程的详细求解过程
已经有14人回复
【求助】不仅控制方程里含有未知参数,边界条件里也有
已经有5人回复
【求助】求助--Bragg方程物理意义??
已经有4人回复
【求助】求教matlab解非线性方程组
已经有9人回复
【求助】紧束缚模型与薛定谔方程的区别与联系
已经有13人回复
【素材】非平衡格林函数模型:单粒子NEGF方程概要
已经有7人回复
【教程】结构方程模型原理及AMOS应用(2008)
已经有12人回复
科研从小木虫开始,人人为我,我为人人














回复此楼
点击这里搜索更多相关资源