| 查看: 5529 | 回复: 16 | ||
| 当前只显示满足指定条件的回帖,点击这里查看本话题的所有回帖 | ||
稻草人yn木虫 (正式写手)
|
[求助]
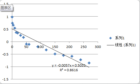
为啥我的一级动力学方程拟合出来的数据R是负数呢?
|
|
|
为啥我的一级动力学方程拟合出来的数据R是负数呢? 0 0.9758 2 0.74162 5 0.65916 10 0.53882 15 0.36097 20 0.34203 30 0.24895 40 0.16613 50 -0.10347 60 -0.10458 90 -0.20204 120 -0.33161 150 -0.48945 180 -0.54975 210 -0.5817 240 -0.72584 270 -0.84771 300 0 这是我的一级动力学数据,求好心人帮忙看哈,感激不尽 |
» 猜你喜欢
2025年中标的山东省自然科学基金立项名目
已经有0人回复
求助:电化学测量原理和方法 孙世刚 2021年出版
已经有0人回复
建筑环境与结构工程论文润色/翻译怎么收费?
已经有207人回复
SCI三区期刊Toxics 空气污染减排与处理专题邀稿
已经有0人回复
巴塞罗那材料研究所 Elena Bartolomé 招博士生
已经有0人回复
宝龙街道雄鑫地块土壤和地下水污染风险管控与修复第一次阶段性效果评估报告
已经有0人回复
Bioresource Technology期刊,第一次返修的时候被退回好几次了
已经有9人回复
2026年东北大学杰青课题组博士研究生招生,报名截至日期12月11日
已经有0人回复

hubin33
木虫 (小有名气)
- 应助: 16 (小学生)
- 金币: 3985.5
- 红花: 2
- 帖子: 197
- 在线: 115.3小时
- 虫号: 913833
- 注册: 2009-11-26
- 性别: GG
- 专业: 环境污染化学
12楼2012-03-20 22:14:14

2楼2012-03-19 10:36:32
hubin33
木虫 (小有名气)
- 应助: 16 (小学生)
- 金币: 3985.5
- 红花: 2
- 帖子: 197
- 在线: 115.3小时
- 虫号: 913833
- 注册: 2009-11-26
- 性别: GG
- 专业: 环境污染化学
3楼2012-03-19 11:06:20
stormxuhao
至尊木虫 (知名作家)
- 应助: 176 (高中生)
- 贵宾: 2.445
- 金币: 15395
- 散金: 28663
- 红花: 95
- 沙发: 11
- 帖子: 8257
- 在线: 1086.4小时
- 虫号: 165633
- 注册: 2006-01-13
- 性别: GG
- 专业: 污染控制化学
4楼2012-03-19 13:22:28













回复此楼