| 查看: 1475 | 回复: 11 | ||
[求助]
环状多肽如何选择流动相
|
|
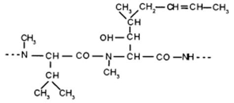
我做的一种环状多肽分子量是一千多,在35度条件下出峰宽有5分钟,不知道在不升高温度的条件下如何通过改变流动相使峰宽变窄。这个分子没有羧基也没有氨基,唯一一个不一样的基团上有个羟基,有个双键,其余都是烷基。 其中一个基团 |
» 猜你喜欢
请问有评职称,把科研教学业绩算分排序的高校吗
已经有6人回复
2025冷门绝学什么时候出结果
已经有6人回复
Bioresource Technology期刊,第一次返修的时候被退回好几次了
已经有7人回复
真诚求助:手里的省社科项目结项要求主持人一篇中文核心,有什么渠道能发核心吗
已经有8人回复
寻求一种能扛住强氧化性腐蚀性的容器密封件
已经有5人回复
请问哪里可以有青B申请的本子可以借鉴一下。
已经有4人回复
请问下大家为什么这个铃木偶联几乎不反应呢
已经有5人回复
天津工业大学郑柳春团队欢迎化学化工、高分子化学或有机合成方向的博士生和硕士生加入
已经有4人回复
康复大学泰山学者周祺惠团队招收博士研究生
已经有6人回复
AI论文写作工具:是科研加速器还是学术作弊器?
已经有3人回复
» 本主题相关商家推荐: (我也要在这里推广)
» 本主题相关价值贴推荐,对您同样有帮助:
求助:对于一个化合物用液相分析的时候,流动相该怎么选择?
已经有3人回复
请问怎么根据化合物的pKa值来选择流动相的PH值
已经有8人回复
怎样根据化合物结构选择流动相?
已经有11人回复
【求助】液相分析胺类物质,流动相怎么选择
已经有10人回复
【求助】想把样品里的几种物质分开,流动相该怎么选择?
已经有8人回复
【求助】如何选择手性分析柱
已经有4人回复
【交流】HPLC-ELSD流动相选择的问题
已经有17人回复
【求助】高效流动相的选择和前沿峰的解决
已经有8人回复
chanelxmc
铁虫 (初入文坛)
- 应助: 1 (幼儿园)
- 金币: 80.4
- 帖子: 26
- 在线: 25.1小时
- 虫号: 1377556
- 注册: 2011-08-23
- 性别: MM
- 专业: 药物设计与药物信息
2楼2012-03-07 09:32:34
3楼2012-03-07 09:56:36
4楼2012-03-07 10:20:34
chanelxmc
铁虫 (初入文坛)
- 应助: 1 (幼儿园)
- 金币: 80.4
- 帖子: 26
- 在线: 25.1小时
- 虫号: 1377556
- 注册: 2011-08-23
- 性别: MM
- 专业: 药物设计与药物信息
5楼2012-03-07 10:33:28
6楼2012-03-07 10:45:58
lihuan0525
金虫 (职业作家)
- 应助: 565 (博士)
- 金币: 2130
- 散金: 687
- 红花: 15
- 帖子: 3296
- 在线: 551.8小时
- 虫号: 1292024
- 注册: 2011-05-11
- 性别: GG
- 专业: 蛋白质组学
7楼2012-03-07 19:28:17
liuwei10987
木虫 (正式写手)
- 应助: 115 (高中生)
- 金币: 4672.9
- 散金: 509
- 红花: 2
- 帖子: 340
- 在线: 162.9小时
- 虫号: 1318345
- 注册: 2011-06-08
- 性别: GG
- 专业: 色谱分析
8楼2012-03-07 22:44:45
9楼2012-03-08 19:37:35
youshan999
铁虫 (正式写手)
- 应助: 2 (幼儿园)
- 金币: 1555.2
- 红花: 1
- 帖子: 314
- 在线: 103.7小时
- 虫号: 1043469
- 注册: 2010-06-18
- 性别: GG
- 专业: 天然药物化学
10楼2012-03-09 09:13:35













回复此楼