| 查看: 664 | 回复: 2 | |||
[交流]
求助数学的计算证明 已有1人参与
|
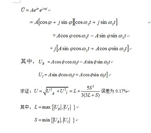
| 是一道计算数学的证明 |
» 猜你喜欢
275求调剂
已经有14人回复
调剂310
已经有6人回复
283求调剂
已经有3人回复
085602 化工专硕 338分 求调剂
已经有12人回复
312,生物学求调剂
已经有3人回复
化学0703 调剂 306分 一志愿211
已经有4人回复
311(085601)求调剂
已经有3人回复
复试调剂
已经有3人回复
本科双非材料,跨考一志愿华电085801电气,283求调剂,任何专业都可以
已经有6人回复
材料与化工272求调剂
已经有9人回复
» 本主题相关价值贴推荐,对您同样有帮助:
求助证明一个数列收敛
已经有14人回复
求助一个体积计算问题
已经有10人回复
求助一个计算标准偏差的方法
已经有12人回复
|求助| 统计学中在进行相关性检验时,P值如何计算?
已经有9人回复
【求助】计算数学国内大牛有哪些?
已经有22人回复
【求助】求证,非线性泛函中一致连续算子是有界的
已经有9人回复
【求助】求助关于χ2和P值的计算方法
已经有12人回复
【求助】数学运算题
已经有3人回复
【求助】计算方法与数值方法的区别
已经有9人回复
【求助】多元线性回归模型训练集和验证集
已经有9人回复
【求助】以下积分怎么计算?【已解决】
已经有9人回复
【求助】证明一个数学模型所在空间为内积空间【已解决】
已经有10人回复
【求助】方阵特征值问题有没有计算量下限?
已经有4人回复
【求助】计算数学哪个方向比较好呢?SOS!
已经有33人回复
2楼2012-03-01 23:11:05
xiangqianzsh
木虫 (著名写手)
- 应助: 23 (小学生)
- 金币: 2306.7
- 散金: 1321
- 红花: 2
- 帖子: 1729
- 在线: 773.6小时
- 虫号: 1217881
- 注册: 2011-03-01
- 性别: GG
- 专业: 代数学
3楼2012-03-02 12:09:36














回复此楼