| ²é¿´: 2292 | »Ø¸´: 26 | |||
cosmology½ð³æ (ÕýʽдÊÖ)
|
|||
|
11Â¥2012-02-12 21:08:56
|
|
||
Ëï?ª730ÖÁ×ðľ³æ (ÖªÃû×÷¼Ò)
|
|||
![]() |
|||
|
12Â¥2012-02-12 22:17:47
|
|
||
Ëï?ª730ÖÁ×ðľ³æ (ÖªÃû×÷¼Ò)
|
|||
![]() |
|||
|
13Â¥2012-02-12 22:38:17
|
|
||
racoon01ר¼Ò¹ËÎÊ (ÖøÃûдÊÖ)
|
|||
![]() |
|||
|
14Â¥2012-02-12 23:18:40
|
|
||
dingxb½ð³æ (ÕýʽдÊÖ)
ÃÔ;Ê鳿
|
|||
![]() |
|||
|
15Â¥2012-02-13 08:42:51
|
|
||
cosmology½ð³æ (ÕýʽдÊÖ)
|
|||
|
16Â¥2012-02-13 10:46:24
|
|
||
racoon01ר¼Ò¹ËÎÊ (ÖøÃûдÊÖ)
|
|||
![]() |
|||
|
17Â¥2012-02-13 12:01:16
|
|
||
suting309½ð³æ (³õÈëÎÄ̳)
|
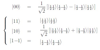
ϦÑôÎ÷ÏÂ: ÎïÀíÉϺܶà±íʾ·½·¨¶¼ÊÇÒ»ÖּǺŶøÒÑ£¬±ãÓÚÀí½â¡£¹ÂÁ¢µÄ×ÔÐý̬¹À¼ÆÖ»ÓÐ×ÔÓɵçºÉ²ÅÓУ¬Ò»°ãÇé¿öÏ£¬×ÔÐýµÄñîºÏ·ûºÏÅÝÀû²»ÏàÈÝÔÀí¡£ 2012-02-14 11:57:20
|
||
|
18Â¥2012-02-14 09:33:22
|
|
||
litspotгæ (³õÈëÎÄ̳)
|
|||
|
19Â¥2012-03-10 12:25:27
|
|
||
janecoolÌú¸Ëľ³æ (ÖøÃûдÊÖ)
|
ϦÑôÎ÷ÏÂ: Èý̬ÀïÃæ11>Óë1-1>²»»á³öÏÖ¡£ÒòΪS=1£¬µ¥Ì¬S=0¡£ 2012-03-12 10:19:44
|
||
![]() |
|||
|
20Â¥2012-03-11 21:39:15
|
|













»Ø¸´´ËÂ¥

