| ²é¿´: 1138 | »Ø¸´: 5 | ||
wyy1988v½ð³æ (СÓÐÃûÆø)
|
[ÇóÖú]
¡¾ÇóÖú¡¿ÄÜ´øÍ¼·ÖÎö£¬¼±£¡
|
|
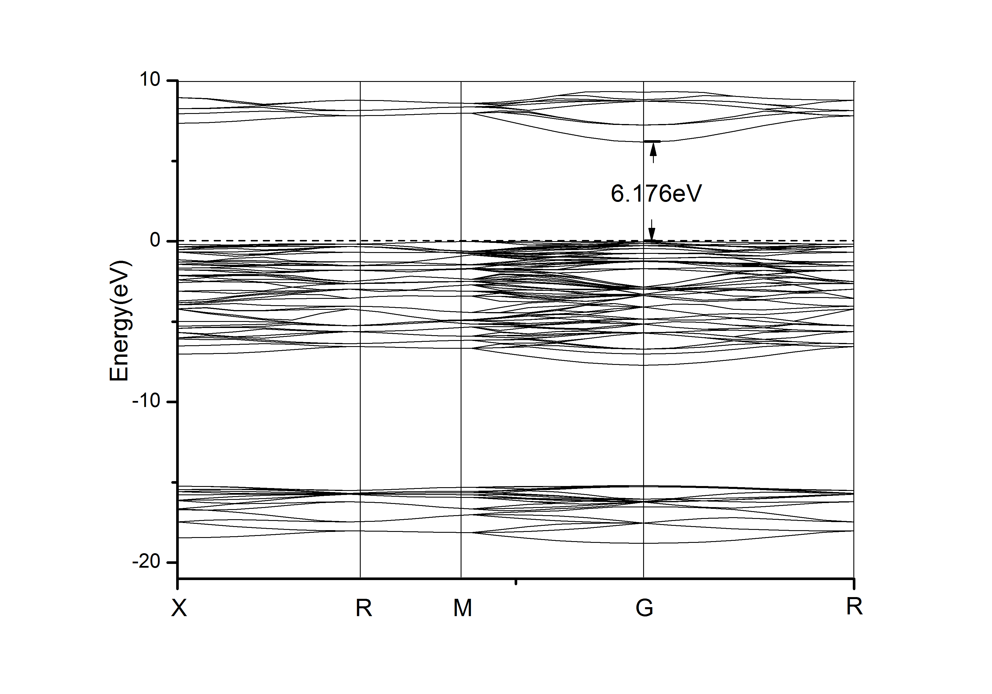
ÄÄλ´óÏÀ°ïæ¿´¿´ÏÂÃæÄÇÕÅÄÜ´øÍ¼£¿Ç°ÃæÆ½»¬µÄ²¿·Ö´ú±íʲôÒâ˼£¿»¹ÓÐ×Öĸ·Ö±ð±íʾʲôÒâ˼£¿ÎÒÖ»ÖªµÀÕâÄܱíʾ³ö¾øÔµÌåÐÔÖÊ£¬µ«ÊÇ´ÓÕâÕÅͼ»¹ÄÜ¿´³öʲô?ллÁË |
» ²ÂÄãϲ»¶
312Çóµ÷¼Á
ÒѾÓÐ5È˻ظ´
0703µ÷¼Á£¬Ò»Ö¾Ô¸Ìì½ò´óѧ319·Ö
ÒѾÓÐ9È˻ظ´
085600²ÄÁÏÓ뻯¹¤301·ÖÇóµ÷¼ÁԺУ
ÒѾÓÐ10È˻ظ´
ר˶0854³õÊÔ¿¼²Ä¿Æ»ù£¬Çóµ÷¼Á
ÒѾÓÐ3È˻ظ´
Çóµ÷¼Á
ÒѾÓÐ8È˻ظ´
085600£¬320·ÖÇóµ÷¼Á
ÒѾÓÐ17È˻ظ´
297·Ö083200ÇóÖú
ÒѾÓÐ3È˻ظ´
Çóµ÷¼Á
ÒѾÓÐ7È˻ظ´
Ò»Ö¾Ô¸±±½»´ó²ÄÁϹ¤³Ì×Ü·Ö358Çóµ÷¼Á
ÒѾÓÐ5È˻ظ´
Ò»Ö¾Ô¸ÄϾ©º½¿Õº½Ìì´óѧ ²ÄÁÏÓ뻯¹¤329·ÖÇóµ÷¼Á
ÒѾÓÐ7È˻ظ´
» ±¾Ö÷ÌâÏà¹Ø¼ÛÖµÌùÍÆ¼ö£¬¶ÔÄúͬÑùÓаïÖú:
ÄÜ´ø½á¹¹ºÍ̬ÃܶȷÖÎö
ÒѾÓÐ5È˻ظ´
Çë´ó¼Ò°ïæ·ÖÎöÒ»ÏÂÕâ¸öµç×Ó̬ÃܶÈͼ£¿
ÒѾÓÐ10È˻ظ´
ÇóÖúÓÃʲôÈí¼þ»ÄÜ´øÍ¼£¨¾ÍÊÇEvºÍEcµÄÄÇÖÖ£©
ÒѾÓÐ5È˻ظ´
ÄÜ´ø½á¹¹ºÍ̬ÃܶÈÎÊÌâ
ÒѾÓÐ19È˻ظ´
¹ØÓÚ¹èÄÜ´øÍ¼ºÍ̬ÃܶȷÖÎö
ÒѾÓÐ11È˻ظ´
ÄÜ´øÍ¼£¬Ò»ÌõÄÜ´øÇúÏßͬʱ´©Ô½Á˼۴øºÍµ¼´ø£¬Õ¦»ØÊÂŶ£¿
ÒѾÓÐ9È˻ظ´
¼±ÇÐÇóÖúÄÜ´øÍ¼Óëdosͼ¶ÔÓ¦²»ÉÏ~
ÒѾÓÐ30È˻ظ´
ÈçºÎµ¼³ömsÖÐÄÜ´øºÍ̬ÃܶȵÄÊý¾Ý£¬ÏëÔÚoriginÖÐ×öͼ¡¡
ÒѾÓÐ8È˻ظ´
¹ØÓڵõ½µÄÄÜ´ø½á¹¹Í¼·ÖÎö£¬Í¬Ò»ÖÖÎïÖÊΪʲô»á³öÏÖÁ½ÖÖͼ£¿
ÒѾÓÐ8È˻ظ´
ÄÜ´ø½á¹¹Í¼ ½ô¼±ÇóÖú
ÒѾÓÐ20È˻ظ´
¡¾ÇóÖú¡¿ÄÜ´ø½á¹¹ ̬ÃܶÈͼ µçºÉ½á¹¹Í¼ÒÔ¼°¹âѧÐÔÖÊ·ÖÎö
ÒѾÓÐ18È˻ظ´
¡¾ÇóÖú¡¿ÄÜ´øÍ¼µÄ·ÖÎö
ÒѾÓÐ14È˻ظ´
¡¾ÇóÖú¡¿ÈçºÎ·ÖÎöÄÜ´øºÍDOSͼ
ÒѾÓÐ10È˻ظ´
¡¾ÇóÖú¡¿ÔõÑù·ÖÎöÄÜ´ø¡¾Íê½á¡¿
ÒѾÓÐ4È˻ظ´
µç×ӽṹºÍ̬ÃܶÈÒÔ¼°ÄÜ´øÖ®¼äÓÐʲô¹ØÏµ?
ÒѾÓÐ6È˻ظ´
¡¾ÇóÖú¡¿Çë´ó¼Ò¿´¿´,Óкì°üÔùËÍ!Ò»×éÄÜ´øÍ¼·ÖÎö
ÒѾÓÐ14È˻ظ´
¡¾ÇóÖú¡¿¿´²»¶®ÎÄÕ¼«Í¼·ÖÎö£¬Çë°ïæ½âÊÍһϣ¡(ͼƬÒÑÄÜÏÔʾ)
ÒѾÓÐ12È˻ظ´

444239852
Òø³æ (ÕýʽдÊÖ)
- Ó¦Öú: 20 (СѧÉú)
- ½ð±Ò: 275.9
- É¢½ð: 40
- ºì»¨: 1
- Ìû×Ó: 555
- ÔÚÏß: 268Сʱ
- ³æºÅ: 1146976
- ×¢²á: 2010-11-15
- ÐÔ±ð: GG
- רҵ: Äý¾Û̬ÎïÐÔ II £ºµç×ӽṹ
¡¾´ð°¸¡¿Ó¦Öú»ØÌû
¡ï
zzy870720z(½ð±Ò+1): ¹ÄÀøÌÖÂÛ½»Á÷ 2011-11-06 10:09:31
wyy1988v(½ð±Ò+2): лл½»Á÷ 2011-11-06 16:12:35
zzy870720z(½ð±Ò+1): ¹ÄÀøÌÖÂÛ½»Á÷ 2011-11-06 10:09:31
wyy1988v(½ð±Ò+2): лл½»Á÷ 2011-11-06 16:12:35
| ×Öĸ´ú±íµÄÊDz¼ÀïÔ¨ÇøÖи߶ԳƵ㣬¶ÔÓÚÄãµÄÄÜ´øÍ¼¿ÉÒÔ¿´³öËüÊǾøÔµÌ壬ӦΪËüÄÜ´øÏßûÓд©¹ý·ÑÃ×Äܼ¶£¬ÒÔÉÏÊÇÎÒ¸öÈË¿´·¨¡£»¹Çë¸ßÊÖ¶à¶àÖ¸½Ì |
2Â¥2011-11-05 19:02:13
lzl8181
Ìú¸Ëľ³æ (ÖøÃûдÊÖ)
µ¥Éíä¯ÀÀºº
- 1STÇ¿Ìû: 3
- Ó¦Öú: 10 (Ó×¶ùÔ°)
- ½ð±Ò: 6179.5
- É¢½ð: 1005
- ºì»¨: 12
- ɳ·¢: 4
- Ìû×Ó: 1747
- ÔÚÏß: 600.3Сʱ
- ³æºÅ: 777973
- ×¢²á: 2009-05-23
- ÐÔ±ð: GG
- רҵ: ÖÐÒ½ÄÚ¿Æ
¡¾´ð°¸¡¿Ó¦Öú»ØÌû
¡ï
zzy870720z(½ð±Ò+1): ллָµã 2011-11-06 10:09:45
wyy1988v(½ð±Ò+2): ллָµã 2011-11-06 16:13:43
zzy870720z(½ð±Ò+1): ллָµã 2011-11-06 10:09:45
wyy1988v(½ð±Ò+2): ллָµã 2011-11-06 16:13:43
| ºÜÏñÊǹâѧ¾§ÌåµÄÄÜ´øÍ¼£¿Æ½»¬´¦ÍùÍù±íʾÄÄЩµØ·½µÄµç×ӵľÖÓòÐԱȽÏÇ¿£¬»òÕß˵ÓÐЧÖÊÁ¿´ó¡£ |

3Â¥2011-11-05 19:49:48
wyy1988v
½ð³æ (СÓÐÃûÆø)
- Ó¦Öú: 2 (Ó×¶ùÔ°)
- ½ð±Ò: 1533.2
- É¢½ð: 30
- ºì»¨: 5
- Ìû×Ó: 295
- ÔÚÏß: 91.9Сʱ
- ³æºÅ: 1157843
- ×¢²á: 2010-11-28
- רҵ: Äý¾Û̬ÎïÐÔ II £ºµç×ӽṹ

4Â¥2011-11-05 20:10:55
wyy1988v
½ð³æ (СÓÐÃûÆø)
- Ó¦Öú: 2 (Ó×¶ùÔ°)
- ½ð±Ò: 1533.2
- É¢½ð: 30
- ºì»¨: 5
- Ìû×Ó: 295
- ÔÚÏß: 91.9Сʱ
- ³æºÅ: 1157843
- ×¢²á: 2010-11-28
- רҵ: Äý¾Û̬ÎïÐÔ II £ºµç×ӽṹ

5Â¥2011-11-05 20:47:07
ApolloYang
ľ³æ (ÕýʽдÊÖ)
- Ó¦Öú: 15 (СѧÉú)
- ½ð±Ò: 2209.6
- É¢½ð: 114
- ºì»¨: 4
- Ìû×Ó: 390
- ÔÚÏß: 236.9Сʱ
- ³æºÅ: 582657
- ×¢²á: 2008-07-25
- ÐÔ±ð: GG
- רҵ: Äý¾Û̬ÎïÐÔ II £ºµç×ӽṹ
¡¾´ð°¸¡¿Ó¦Öú»ØÌû
¡ï
zzy870720z(½ð±Ò+1): ллָµã 2011-11-06 10:10:06
wyy1988v(½ð±Ò+2): ллָµã 2011-11-06 16:14:15
zzy870720z(½ð±Ò+1): ллָµã 2011-11-06 10:10:06
wyy1988v(½ð±Ò+2): ллָµã 2011-11-06 16:14:15
|
ÊÇÖ±½ÓÄÜ϶½á¹¹£¬¼Û´øµÄ×î´óÖµºÍµ¼´øµÄ×îµÍÖµÔÚͬһ¸ö¸ß¶Ô³ÆµãÉÏ Èô·ÇÖ±½Ó´øÏ¶£¬ ÉÏÊöµÄÖµ²»ÔÚͬһ¸ß¶Ô³ÆµãÉÏ |
6Â¥2011-11-05 21:31:56














»Ø¸´´ËÂ¥