| 查看: 3838 | 回复: 30 | ||
haowenping木虫 (著名写手)
|
[求助]
急切求助能带图与dos图对应不上~
|
|
|
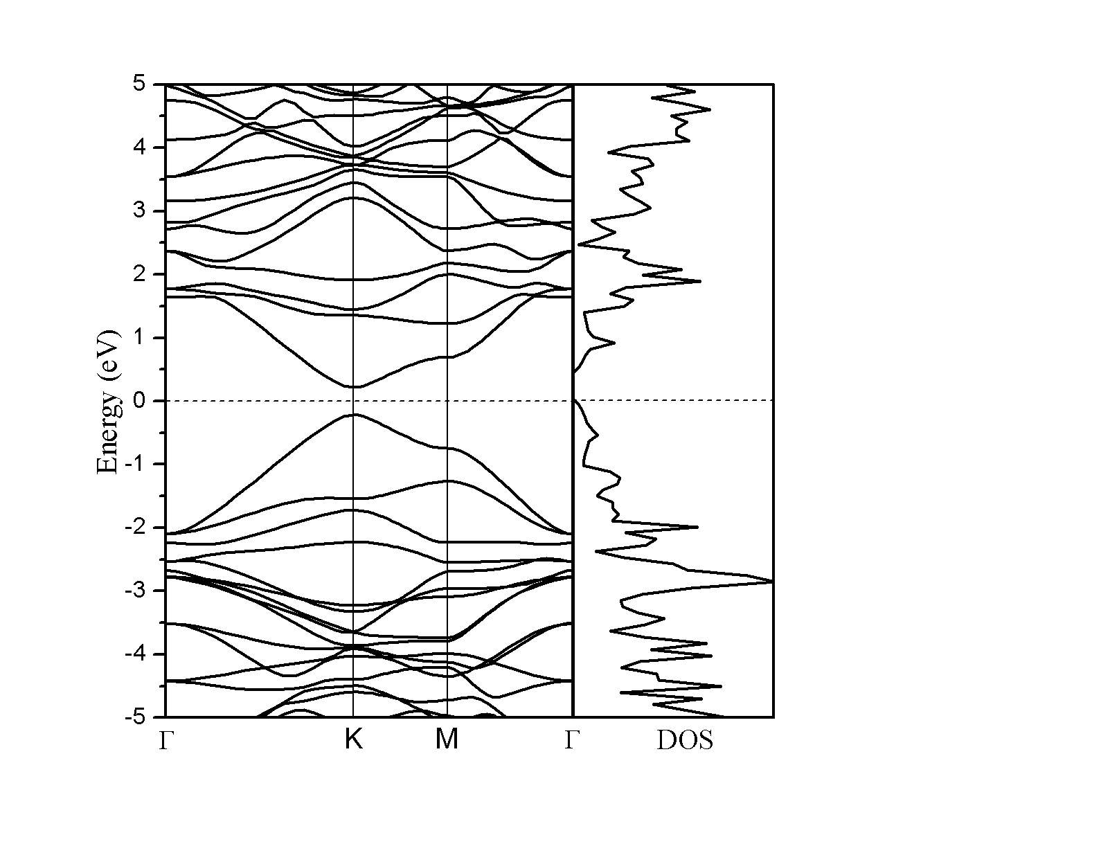
本人最近做了一个系统,算能带和dos,但是图形无法对应上,用尽了很多方法试,但仍然无济于事。我尝试了如下的一些努力: (1)、计算scf的时候用参数选用的是ISMEAR=0,SIGMA=0.16,K点选取为7x7x2。计算能带的时候两高对称点选取为20个点,参数设置为:ISMEAR=0,SIGMA=0.16。dos计算K点选取14x14x2,ISMEAR=-5。 (2)、计算scf的时候选用ISMEAR=0,SIGMA=0.16,K点选取为7x7x2。计算能带的时候两高对称点选取为20个点,参数设置为:ISMEAR=0,SIGMA=0.16。dos计算K点选取14x14x2,ISMEAR=-5,SIGMA=0.16。(这种方法做出来的结果明显的不对。) (3)、计算scf的时候选用ISMEAR=-5,K点选取为7x7x2。计算能带的时候两高对称点选取为20个点,参数设置为:ISMEAR=0,SIGMA=0.16。dos计算K点选取14x14x2,ISMEAR=-5,SIGMA=0.16。 (4)、计算scf的时候用参数选用的是ISMEAR=0,SIGMA=0.16,K点选取为4x4x2。计算能带的时候两高对称点选取为20个点,参数设置为:ISMEAR=0,SIGMA=0.16。dos计算K点选取12x12x2,ISMEAR=-5。(dos计算K点加倍三倍) 所得到的图形如下,并非是费米能级选取有错误,因为我选用计算完的scf或者bands里的费米能级都是一样的结果,他们相差基本可以忽略。各位大虾,我还可以用什么方法试一下,使之能够较好的对应起来?真的是用尽了很多的方法都做不出来,郁闷了快一个星期,在此希望大家能够不吝赐教,小弟感激涕零。 各种方法做出来的结果是,dos中的费米能级刚好在价带顶,而bands中的费米能级在价带顶和导带底的正中间。 |
» 猜你喜欢
288求调剂
已经有6人回复
复试调剂
已经有12人回复
计算机11408,286分求调剂
已经有3人回复
材料专硕322分
已经有8人回复
一志愿上海海洋大学083200食品学硕,求调剂,接受其他专业083200
已经有5人回复
081200-11408-276学硕求调剂
已经有5人回复
材料调剂
已经有10人回复
313求调剂
已经有7人回复
304求调剂(085602,过四级,一志愿985)
已经有14人回复
材料工程302分求调剂
已经有7人回复
» 本主题相关价值贴推荐,对您同样有帮助:
【求助】WIEN2K计算考虑spin的Fcc的Ni的DOS图问题。
已经有9人回复
能带结构图 紧急求助
已经有20人回复
【求助】[font=Tahoma]castep Analysis 中分析DOS图时为什么S,P,d,f选择不了?[/font]
已经有27人回复
【求助成功】VASP算出来的能带和DOS图对应不上,哪里出了问题?
已经有20人回复
[求助]什么结构可以在VNL 中计算能带和DOS
已经有16人回复
【求助】关于态密度DOS的图形问题?
已经有11人回复
【求助】DOS图杂化分析
已经有7人回复
【求助】电子态密度计算dos图中feimi能级的确定
已经有7人回复
【求助】关于eg和t2g DOS画图的 标度 问题
已经有17人回复

uuv2010
荣誉版主 (职业作家)
- 1ST强帖: 6
- 应助: 160 (高中生)
- 贵宾: 3.14
- 金币: 3681.7
- 散金: 5802
- 红花: 79
- 沙发: 35
- 帖子: 4560
- 在线: 916小时
- 虫号: 966216
- 注册: 2010-03-09
- 性别: GG
- 专业: 凝聚态物性 II :电子结构
- 管辖: 第一性原理
7楼2011-08-10 16:28:28
2楼2011-08-10 10:52:37
haowenping
木虫 (著名写手)
- 应助: 6 (幼儿园)
- 金币: 2330.2
- 散金: 384
- 红花: 5
- 帖子: 1104
- 在线: 244.5小时
- 虫号: 1124850
- 注册: 2010-10-17
- 性别: GG
- 专业: 凝聚态物性 II :电子结构

3楼2011-08-10 14:43:53
haowenping
木虫 (著名写手)
- 应助: 6 (幼儿园)
- 金币: 2330.2
- 散金: 384
- 红花: 5
- 帖子: 1104
- 在线: 244.5小时
- 虫号: 1124850
- 注册: 2010-10-17
- 性别: GG
- 专业: 凝聚态物性 II :电子结构

4楼2011-08-10 14:52:40
haowenping
木虫 (著名写手)
- 应助: 6 (幼儿园)
- 金币: 2330.2
- 散金: 384
- 红花: 5
- 帖子: 1104
- 在线: 244.5小时
- 虫号: 1124850
- 注册: 2010-10-17
- 性别: GG
- 专业: 凝聚态物性 II :电子结构

5楼2011-08-10 14:54:44
lonewolf659
铜虫 (小有名气)
- 应助: 8 (幼儿园)
- 金币: 1865.3
- 红花: 1
- 帖子: 145
- 在线: 158.2小时
- 虫号: 482744
- 注册: 2007-12-26
- 专业: 理论和计算化学

6楼2011-08-10 16:23:45
8楼2011-08-11 09:13:54
jinhua1983
金虫 (小有名气)
- 应助: 2 (幼儿园)
- 金币: 737.4
- 散金: 1010
- 红花: 3
- 帖子: 161
- 在线: 60.6小时
- 虫号: 713045
- 注册: 2009-03-02
- 性别: MM
- 专业: 理论和计算化学
9楼2011-08-11 09:33:11
y1ding
铁杆木虫 (著名写手)
- 1ST强帖: 1
- 应助: 61 (初中生)
- 贵宾: 0.33
- 金币: 5959.3
- 散金: 1
- 红花: 21
- 帖子: 1884
- 在线: 491.1小时
- 虫号: 142265
- 注册: 2005-12-21
- 专业: 凝聚态物性 II :电子结构
10楼2011-08-11 09:39:07














回复此楼