| 查看: 845 | 回复: 11 | ||
[求助]
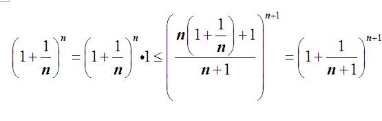
证明单调
|
| (1+1/n)^n单调,用a_n+1减a_n证 |
» 猜你喜欢
招收生物学/细胞生物学调剂
已经有5人回复
300求调剂,材料科学英一数二
已经有7人回复
070305高分子化学与物理 304分求调剂
已经有7人回复
289求调剂
已经有13人回复
299求调剂
已经有7人回复
一志愿哈尔滨工业大学材料与化工方向336分
已经有9人回复
081200-11408-276学硕求调剂
已经有6人回复
调剂求院校招收
已经有5人回复
调剂310
已经有8人回复
一志愿北京理工大学本科211材料工程294求调剂
已经有5人回复
lizhmath
金虫 (初入文坛)
- 数学EPI: 1
- 应助: 0 (幼儿园)
- 金币: 3258.3
- 红花: 2
- 帖子: 32
- 在线: 97.1小时
- 虫号: 928915
- 注册: 2009-12-15
- 性别: GG
- 专业: 数论
2楼2011-10-13 19:38:08
xuyx_78
金虫 (小有名气)
- 应助: 39 (小学生)
- 金币: 1714.5
- 红花: 1
- 帖子: 176
- 在线: 80.3小时
- 虫号: 1385856
- 注册: 2011-09-01
- 专业: 计算数学与科学工程计算
3楼2011-10-13 19:44:34
4楼2011-10-13 20:27:10
5楼2011-10-13 20:29:44
6楼2011-10-13 20:36:53
lizhmath
金虫 (初入文坛)
- 数学EPI: 1
- 应助: 0 (幼儿园)
- 金币: 3258.3
- 红花: 2
- 帖子: 32
- 在线: 97.1小时
- 虫号: 928915
- 注册: 2009-12-15
- 性别: GG
- 专业: 数论
7楼2011-10-13 21:22:11
xuyx_78
金虫 (小有名气)
- 应助: 39 (小学生)
- 金币: 1714.5
- 红花: 1
- 帖子: 176
- 在线: 80.3小时
- 虫号: 1385856
- 注册: 2011-09-01
- 专业: 计算数学与科学工程计算
8楼2011-10-13 21:52:02
Pchief
铁杆木虫 (正式写手)
- 数学EPI: 26
- 应助: 13 (小学生)
- 贵宾: 0.024
- 金币: 10833.4
- 红花: 36
- 帖子: 987
- 在线: 1992.9小时
- 虫号: 52235
- 注册: 2004-09-04
- 专业: 泛函分析
9楼2011-10-15 10:00:13
10楼2011-10-25 14:46:33














回复此楼
mayz92