| 查看: 483 | 回复: 5 | |
[求助]
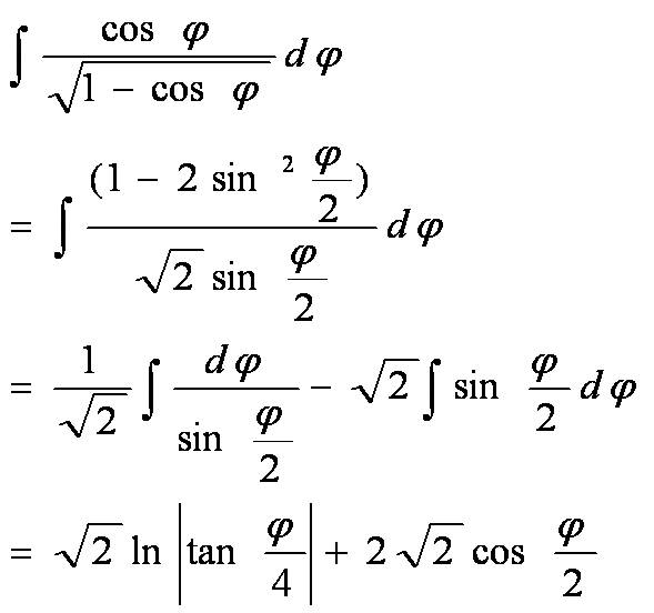
求助一个积分
|
|
|
|
|
soliton923铁杆木虫 (职业作家)
数学村村长
|
|
![]() |
|
|
2楼2011-08-15 19:08:06
|
|
|
3楼2011-08-15 19:28:47
|
|
|
4楼2011-08-15 19:44:32
|
|
|
5楼2011-08-15 20:44:18
|
|
|
6楼2011-08-20 10:11:49
|
|













回复此楼
