| ²é¿´: 901 | »Ø¸´: 6 | ||
zzhenkaiÒø³æ (³õÈëÎÄ̳)
|
[ÇóÖú]
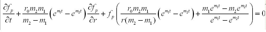
Çó½âƫ΢·Ö·½³Ì
|
|
![]() |
||
|
|
||
13500558820Òø³æ (ÎÄ̳¾«Ó¢)
ÌìÅî´óԪ˧¡ª¡ªÌìÉÏÈ˼ä¶Ê³¤
|
||
![]() |
||
|
2Â¥2011-05-28 11:56:35
|
|
|
zzhenkaiÒø³æ (³õÈëÎÄ̳)
|
||
![]() |
||
|
3Â¥2011-05-28 12:08:05
|
|
|
13500558820Òø³æ (ÎÄ̳¾«Ó¢)
ÌìÅî´óԪ˧¡ª¡ªÌìÉÏÈ˼ä¶Ê³¤
|
||
![]() |
||
|
4Â¥2011-05-28 12:10:47
|
|
|
zzhenkaiÒø³æ (³õÈëÎÄ̳)
|
||
![]() |
||
|
5Â¥2011-05-28 12:21:50
|
|
|
13500558820Òø³æ (ÎÄ̳¾«Ó¢) |
|
|
|
6Â¥2011-05-28 12:26:28
|
|
|
lilac_cÖÁ×ðľ³æ (ÖªÃû×÷¼Ò)
|
||
![]() |
||
|
7Â¥2011-07-04 03:25:51
|
|














»Ø¸´´ËÂ¥

10