| ²é¿´: 1140 | »Ø¸´: 2 | ||
¶¬ÌìÀïµÄ½¾ÑôÌú¸Ëľ³æ (ÕýʽдÊÖ)
|
[ÇóÖú]
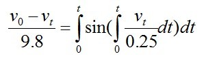
ËÄÜÓÃMatlabÇó½âÕâÑùµÄ·½³Ì£¿×îºÃ½âÎö½â
|
|
|
|
||
holmescn½ð³æ (ÕýʽдÊÖ)
|
¡¾´ð°¸¡¿Ó¦Öú»ØÌû
¡ï ¡ï ¡ï
ÓàÔó³É(½ð±Ò+3): лл²ÎÓëÓ¦Öú£¡ 2011-05-24 12:35:52 ¶¬ÌìÀïµÄ½¾Ñô(½ð±Ò+5): ллÄãµÄ²ÎÓë 2011-05-24 13:15:20 ¶¬ÌìÀïµÄ½¾Ñô(½ð±Ò+5): 2011-05-30 21:37:12
|
|
|
2Â¥2011-05-24 09:22:29
|
|
|
ÈñÀûµÄË鯬ľ³æ (ÕýʽдÊÖ)
star watcher
|
¡¾´ð°¸¡¿Ó¦Öú»ØÌû
¡ï ¡ï
΢³¾¡¢ÃÎÏë(½ð±Ò+2): лл²ÎÓëÓ¦Öú£¡ 2011-05-26 15:46:10 ¶¬ÌìÀïµÄ½¾Ñô(½ð±Ò+10): ллÄãµÄ²ÎÓë 2011-05-27 13:10:22
|
|
|
3Â¥2011-05-26 13:14:37
|
|













»Ø¸´´ËÂ¥