版块导航
正在加载中...
客户端APP下载
登录
注册
帖子
帖子
用户
本版
应《网络安全法》要求,自2017年10月1日起,未进行实名认证将不得使用互联网跟帖服务。为保障您的帐号能够正常使用,请尽快对帐号进行手机号验证,感谢您的理解与支持!
24小时热门版块排行榜
>
论坛更新日志
(3142)
>
虫友互识
(393)
>
考博
(197)
>
导师招生
(190)
>
文献求助
(150)
>
基金申请
(131)
>
休闲灌水
(97)
>
仿真模拟
(45)
>
文学芳草园
(42)
>
论文投稿
(28)
>
硕博家园
(26)
>
博后之家
(21)
>
公派出国
(19)
>
考研
(19)
>
找工作
(18)
>
催化
(17)
小木虫论坛-学术科研互动平台
»
专业学科区
»
数学
»
基础数学
»
【求助】恳求 帮忙求解积分结果 谢谢
3
1/1
返回列表
查看: 259 | 回复: 2
只看楼主
@他人
存档
新回复提醒
(忽略)
收藏
在APP中查看
lovedreamers
金虫
(小有名气)
应助: 0
(幼儿园)
金币: 995.5
帖子: 139
在线: 23.2小时
虫号: 450496
[交流]
【求助】恳求 帮忙求解积分结果 谢谢
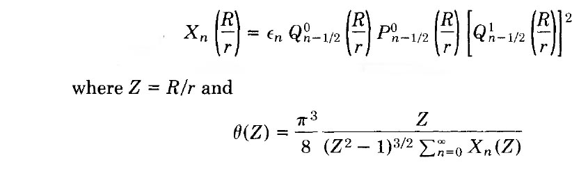
下图中Z=1.67 请问下面的那个方程结果多少? 谢谢~~~
不知道可以求不? 不记得积分内容了~~ 上面的那个方程是双重积分得来的 应该是可以算的吧~~ 恳求答复 谢谢
还有 不知道Q P 之类的不知道是不是相当于常数,如果需要 附件文献中 p4~5 提供~~
谢谢!!
[
Last edited by 小雨萌萌 on 2011-4-29 at 10:32
]
回复此楼
» 猜你喜欢
窗边初夏的小雨
已经有4人回复
2026年申博-电池方向
已经有11人回复
26年申博自荐-计算机视觉
已经有4人回复
导师各种操作恶心咋办
已经有8人回复
2026博士申请求助
已经有5人回复
研究生做的很差,你们会让毕业吗?
已经有11人回复
求碳排放博导;方向是LCA、生命周期可持续发展以及碳排放
已经有7人回复
2026博士或科研助理转27年博士
已经有7人回复
国自科送审了吗
已经有11人回复
博士招生
已经有5人回复
高级回复
» 本主题相关价值贴推荐,对您同样有帮助:
求解一个神奇的结构,请求牛人帮忙,绝对神奇
已经有5人回复
请高手帮忙求解一个常微分方程的题目
已经有6人回复
求解一个微分方程,谢谢。
已经有11人回复
物化考博七题求解,谢谢
已经有10人回复
求解谱啊,貌似是木脂素吧~~大侠们帮帮忙吧~~~谢过~~
已经有7人回复
求解投稿(振动与冲击)的邮件回复,大家帮我看这个是啥意思,谢谢。
已经有8人回复
简单数组最值求解-谢谢
已经有4人回复
请教一个Mathematica积分的问题(重金求解)
已经有6人回复
帮忙求解一道微分方程的题目
已经有7人回复
【求助】积分微分方程matlab求解
已经有6人回复
【求助】求解带积分的方程
已经有17人回复
【求助】求解定积分
已经有12人回复
» 抢金币啦!回帖就可以得到:
查看全部散金贴
太行山徒步之凌水河(二)
+
1
/73
双一流高校-南京林业大学-化学工程学院-国家海外优青团队招2026级博士(5月15号截止)
+
1
/39
安徽农业大学材料与化学学院纤维再生与功能集成课题组博士后招聘
+
1
/36
双一流高校-南京林业大学-化学工程学院-国家海外优青团队招2026级博士(5月15号截止)
+
1
/31
松山湖材料实验室-大连理工大学联合招收2027年博士研究生调剂考生若干名
+
1
/31
北京邮电大学电子科学与技术招收博士
+
1
/26
山东大学集成电路学院招收2026年9月入学的博士研究生
+
1
/17
昆明理工大学余富朝团队2026年诚招有机化学/生物化学等方向“申请-审核”博士研究生
+
1
/16
南昌大学 物理与材料学院招收2026年申请考核博士1名 化学、材料、催化相关专业
+
1
/15
天津大学 合成生物技术全国重点实验室 国家级青年人才团队常年招收博士后
+
1
/14
类器官/器官芯片 有编制研究员
+
1
/11
中国农业大学资源与环境学院 - 招聘杰出人才、青年研究员、优秀人才和博士后
+
1
/10
求ENDNOTE免费版本,谢谢大神们!
+
1
/8
求助标准《牙科学 氟化物防龋材料》YY/T 0823-2020标准
+
1
/7
哈尔滨工业大学(深圳)——急招能动/材料/机械——26年9月份博士/博后/RA
+
1
/7
成都中医药大学药学院 谢恬教授招收2026级药物化学,有机合成方向的博士生
+
1
/4
昆明理工大学交通载运车辆方向招收2026年秋季入学博士生2名
+
4
/4
【急招】北京航空航天大学 | 超声脑机接口方向 | 2026年博士研究生
+
1
/3
南京大学医学院医学数字孪生方向博士后招聘
+
1
/2
浙江理工大学唐艳军教授课题组招收材料与化工专业学位博士生(2026年9月入学)
+
1
/2
1楼
2011-04-06 20:55:00
已阅
回复此楼
关注TA
给TA发消息
送TA红花
TA的回帖
lovedreamers
金虫
(小有名气)
应助: 0
(幼儿园)
金币: 995.5
帖子: 139
在线: 23.2小时
虫号: 450496
有人 支持一下吗? 谢谢
赞
一下
回复此楼
2楼
2011-04-07 13:27:51
已阅
回复此楼
关注TA
给TA发消息
送TA红花
TA的回帖
lovedreamers
金虫
(小有名气)
应助: 0
(幼儿园)
金币: 995.5
帖子: 139
在线: 23.2小时
虫号: 450496
怎么 就没人高手呢~~~~555
赞
一下
回复此楼
3楼
2011-04-21 14:10:35
已阅
回复此楼
关注TA
给TA发消息
送TA红花
TA的回帖
相关版块跳转
数理科学综合
机械
物理
数学
农林
食品
地学
能源
信息科学
土木建筑
航空航天
转基因
我要订阅楼主
lovedreamers
的主题更新
3
1/1
返回列表
如果回帖内容含有宣传信息,请如实选中。否则帐号将被全论坛禁言
普通表情
龙
兔
虎
猫
高级回复
(可上传附件)
百度网盘
|
360云盘
|
千易网盘
|
华为网盘
在新窗口页面中打开自己喜欢的网盘网站,将文件上传后,然后将下载链接复制到帖子内容中就可以了。
信息提示
关闭
请填处理意见
关闭
确定