版块导航
正在加载中...
客户端APP下载
论文辅导
申博辅导
登录
注册
帖子
帖子
用户
本版
应《网络安全法》要求,自2017年10月1日起,未进行实名认证将不得使用互联网跟帖服务。为保障您的帐号能够正常使用,请尽快对帐号进行手机号验证,感谢您的理解与支持!
24小时热门版块排行榜
>
论坛更新日志
(1043)
>
虫友互识
(69)
>
休闲灌水
(46)
>
论文投稿
(38)
>
博后之家
(33)
>
导师招生
(25)
>
考博
(25)
>
硕博家园
(23)
>
基金申请
(19)
>
教师之家
(19)
>
公派出国
(19)
>
考研
(12)
>
论文道贺祈福
(8)
>
找工作
(5)
>
招聘信息布告栏
(4)
>
留学生活
(4)
小木虫论坛-学术科研互动平台
»
专业学科区
»
数学
»
概率论与统计
»
【求助】请问指数分布能不能转换成正态分布?
7
1/1
返回列表
查看: 5435 | 回复: 6
只看楼主
@他人
存档
新回复提醒
(忽略)
收藏
在APP中查看
suetung8
木虫
(知名作家)
应助: 0
(幼儿园)
金币: 11510.1
帖子: 7710
在线: 357.2小时
虫号: 113369
[交流]
【求助】请问指数分布能不能转换成正态分布?
请问指数分布能不能转换成正态分布?
帮师弟问个问题,本来他的公式中是两个变量A和B的乘积,这两个量A是指数分布,B是正态分布,他想问下这两个量的乘积是什么分布类型?而且指数分布能不能转换成正态分布?
回复此楼
» 猜你喜欢
请问有评职称,把科研教学业绩算分排序的高校吗
已经有6人回复
2025冷门绝学什么时候出结果
已经有6人回复
Bioresource Technology期刊,第一次返修的时候被退回好几次了
已经有7人回复
真诚求助:手里的省社科项目结项要求主持人一篇中文核心,有什么渠道能发核心吗
已经有8人回复
寻求一种能扛住强氧化性腐蚀性的容器密封件
已经有5人回复
请问哪里可以有青B申请的本子可以借鉴一下。
已经有4人回复
请问下大家为什么这个铃木偶联几乎不反应呢
已经有5人回复
天津工业大学郑柳春团队欢迎化学化工、高分子化学或有机合成方向的博士生和硕士生加入
已经有4人回复
康复大学泰山学者周祺惠团队招收博士研究生
已经有6人回复
AI论文写作工具:是科研加速器还是学术作弊器?
已经有3人回复
高级回复
» 本主题相关价值贴推荐,对您同样有帮助:
请问n个独立的均匀分布变量加上n个独立的正态分布,符合什么分布?
已经有5人回复
求助正态分布的函数是什么分布
已经有8人回复
正态分布问题求助
已经有8人回复
指数分布族中T(x)分布的问题
已经有3人回复
正态分布求解 谢谢
已经有3人回复
一组数据指数转换后,正态分布变好,解释原因?
已经有8人回复
如何将非正态数据转换为正态数据(使用SPSS进行T检验或单因素方差分析)
已经有5人回复
如何用matlab求该系列数的正态分布图
已经有7人回复
如何用matlab求该系列数的正态分布图
已经有4人回复
两个数可以进行正态检验吗?
已经有5人回复
正态分布的数据经过对数转换后居然成非正态分布了,奇怪。
已经有5人回复
偏正态分布?F分布?请帮判断图三是什么分布类型
已经有7人回复
两个独立的正态随机变量,其平方和开方服从什么分布呢?
已经有7人回复
关于指数分布的问题请教
已经有6人回复
求助,如何把均匀分布转化为正态分布
已经有3人回复
请问对数正态分布与标准正态分布的关系是什么?
已经有11人回复
【求助】请问两个正态分布的乘积结果是什么分布啊?
已经有11人回复
【求助】弱问下泊松分布与正态分布的区别
已经有6人回复
【求助】正态分布与gamma分布的关系【已解决】
已经有3人回复
» 抢金币啦!回帖就可以得到:
查看全部散金贴
以色列理工-生物质塑料等催化转化及流体力学方向---全奖博士研究生和科研助理
+
2
/92
硫化物全固态电池的产业化破局:手套箱如何实现全线稳定制造
+
1
/83
招收26年资源与环境领域、生物质生物转化、生物技术等方向博士研究生
+
1
/79
中国科学技术大学 精准智能化学重点实验室 武建昌课题组招聘博士后
+
1
/79
双一流大学-湘潭大学“电化学能源储存与转换”湖南省重点实验室招生电池方向博士生
+
1
/75
双一流大学湘潭大学“化工过程模拟与强化”国家地方联合工程研究中心招收各类博士生
+
1
/66
国家青年人才叶立群教授课题组招收2026级博士研究生
+
1
/32
浙江工业大学国家优青朱艺涵团队在固态电池解构与设计方向招收2026年博士生2名
+
1
/27
2026年度智能交通课题组诚招理工科背景博士
+
1
/24
同济大学段宁院士徐夫元教授团队:招聘博士后+欢迎依托申报海优
+
1
/24
上海大学长江学者钟云波教授团队招收外场冶金或材料加工方向2026年博士研究生
+
1
/19
南京航空航天大学航天学院黄护林教授课题组博士研究生招生(工程热物理专业)
+
1
/15
澳门科技大学2026年数学博士招生——计算物理与数学课题组: 相场与计算流体动力学
+
1
/12
招聘2026年入学博士生
+
1
/7
招若干有分子生物,细胞培养,动物实验背景的人员(中山大学)
+
1
/7
上海大学人工智能研究院徐梁教授课题组招聘博士(控制/机器视觉/机器人导航操作方向)
+
1
/7
海南大学化学院 招聘 材料与电化学方向——研究助理,博士(2026年入学)
+
1
/7
深圳先进院三院院士成会明团队诚聘液流电池/高分子合成等方向博后、科研助理、工程师
+
1
/6
有没有一款可以听文献的APP
+
1
/2
上海交通大学AIMS-Lab招收AI for Science方向2026级博士生
+
1
/1
1楼
2011-04-03 14:28:45
已阅
回复此楼
关注TA
给TA发消息
送TA红花
TA的回帖
pengyehui
木虫
(正式写手)
数学EPI: 3
应助: 15
(小学生)
贵宾: 0.03
金币: 4215.2
帖子: 510
在线: 190.6小时
虫号: 462928
★
小木虫(金币
+0.5
):给个红包,谢谢回帖交流
任何分布都可以转化为正态分布
赞
一下
(1人)
回复此楼
2楼
2011-04-03 18:28:41
已阅
回复此楼
关注TA
给TA发消息
送TA红花
TA的回帖
suetung8
木虫
(知名作家)
应助: 0
(幼儿园)
金币: 11510.1
帖子: 7710
在线: 357.2小时
虫号: 113369
引用回帖:
Originally posted by
pengyehui
at 2011-04-03 18:28:41:
任何分布都可以转化为正态分布
请问应该如何转化?或者那些书里有这些内容,希望朋友给说下,多谢了!
赞
一下
回复此楼
3楼
2011-04-03 18:33:28
已阅
回复此楼
关注TA
给TA发消息
送TA红花
TA的回帖
pengyehui
木虫
(正式写手)
数学EPI: 3
应助: 15
(小学生)
贵宾: 0.03
金币: 4215.2
帖子: 510
在线: 190.6小时
虫号: 462928
★
小木虫(金币
+0.5
):给个红包,谢谢回帖交流
suetung8(金币+5): 希望兄台再给多指点下,呵呵,不胜感谢! 2011-04-03 19:00:07
suetung8(金币+5): 补全 2011-04-25 15:34:18
随机变量X的分布函数为F,正态随机变量U的分布函数为P, 则P^{-1}(F(X))服从正态分布,P^{-1}不是逆函数
赞
一下
(1人)
回复此楼
4楼
2011-04-03 18:41:42
已阅
回复此楼
关注TA
给TA发消息
送TA红花
TA的回帖
suetung8
木虫
(知名作家)
应助: 0
(幼儿园)
金币: 11510.1
帖子: 7710
在线: 357.2小时
虫号: 113369
引用回帖:
Originally posted by
pengyehui
at 2011-04-03 18:41:42:
随机变量X的分布函数为F,正态随机变量U的分布函数为P, 则P^{-1}(F(X))服从正态分布,P^{-1}不是逆函数
多谢了!数学我也不太懂~~我给我师弟说下吧。那这个P^{-1}是什么函数啊?那本儿书上能找到啊?
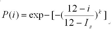
PS:极值-Ⅲ型函数跟指数函数有什么关系?
他问我的,具体我截个图你给看下吧,非常感谢~
他口中的指数函数估计是下面这个图片里的公式?
赞
一下
回复此楼
5楼
2011-04-03 18:57:04
已阅
回复此楼
关注TA
给TA发消息
送TA红花
TA的回帖
pengyehui
木虫
(正式写手)
数学EPI: 3
应助: 15
(小学生)
贵宾: 0.03
金币: 4215.2
帖子: 510
在线: 190.6小时
虫号: 462928
P^{-1}是反函数
回复此楼
6楼
2011-04-03 19:32:09
已阅
回复此楼
关注TA
给TA发消息
送TA红花
TA的回帖
艾欣5213
新虫
(初入文坛)
应助: 0
(幼儿园)
金币: 9
帖子: 2
在线: 1.7小时
虫号: 3619702
引用回帖:
2楼
:
Originally posted by
pengyehui
at 2011-04-03 18:28:41
任何分布都可以转化为正态分布
有没有这方面的相关论文与教材,求推荐
赞
一下
回复此楼
7楼
2014-12-30 14:59:24
已阅
回复此楼
关注TA
给TA发消息
送TA红花
TA的回帖
相关版块跳转
数理科学综合
机械
物理
数学
农林
食品
地学
能源
信息科学
土木建筑
航空航天
转基因
我要订阅楼主
suetung8
的主题更新
7
1/1
返回列表
如果回帖内容含有宣传信息,请如实选中。否则帐号将被全论坛禁言
普通表情
龙
兔
虎
猫
高级回复
(可上传附件)
百度网盘
|
360云盘
|
千易网盘
|
华为网盘
在新窗口页面中打开自己喜欢的网盘网站,将文件上传后,然后将下载链接复制到帖子内容中就可以了。
信息提示
关闭
请填处理意见
关闭
确定