版块导航
正在加载中...
客户端APP下载
论文辅导
申博辅导
登录
注册
帖子
帖子
用户
本版
应《网络安全法》要求,自2017年10月1日起,未进行实名认证将不得使用互联网跟帖服务。为保障您的帐号能够正常使用,请尽快对帐号进行手机号验证,感谢您的理解与支持!
24小时热门版块排行榜
>
论坛更新日志
(3179)
>
文献求助
(223)
>
导师招生
(188)
>
虫友互识
(167)
>
休闲灌水
(86)
>
硕博家园
(73)
>
考研
(70)
>
论文道贺祈福
(53)
>
论文投稿
(45)
>
考博
(43)
>
博后之家
(41)
>
公派出国
(39)
>
招聘信息布告栏
(31)
>
教师之家
(29)
>
基金申请
(27)
>
外文书籍求助
(25)
小木虫论坛-学术科研互动平台
»
计算模拟区
»
计算模拟
»
给出了一个方程,如何用maple将其未知函数进行级数展开
10
1/1
返回列表
查看: 1674 | 回复: 9
只看楼主
@他人
存档
新回复提醒
(忽略)
收藏
在APP中查看
13500558820
银虫
(文坛精英)
应助: 0
(幼儿园)
金币: 858.4
帖子: 12713
在线: 1168.1小时
虫号: 1140029
[交流]
给出了一个方程,如何用maple将其未知函数进行级数展开
给出的是方程,但是未知函数不好求解,所以希望能将未知函数进行级数展开
回复此楼
» 猜你喜欢
深圳大学2026年秋博士招生-物理学-活性胶体方向-高永祥课题组
已经有17人回复
论物质与能量的统一模型及物理现象解释
已经有0人回复
物理学I论文润色/翻译怎么收费?
已经有216人回复
基于基元I统一理论的数学相关应用推导
已经有0人回复
基元I统一理论:宇宙本质、层级演化与修炼文明的本源规律
已经有1人回复
基元I理论下三大核心空间现象精准推导与细节解析
已经有0人回复
基于基元 I 统一理论的反重力理论推导
已经有0人回复
基于基元I统一理论的量子力学本源推导
已经有1人回复
推荐一款可以AI辅助写作的Latex编辑器SmartLatexEditor,超级好用,AI润色,全免费
已经有17人回复
【EI|Scopus 双检索】第六届智能机器人系统国际会议(ISoIRS 2026)
已经有0人回复
2026年第四届电动车与车辆工程国际会议(CEVVE 2026)
已经有0人回复
高级回复
» 本主题相关价值贴推荐,对您同样有帮助:
这是个什么函数
已经有6人回复
椭圆形偏微分方程标准化后该如何解?
已经有6人回复
药品生产企业的高效液相色谱仪需要计量局等权威部门进行计量才可使用吗?
已经有14人回复
[求助]自相关函数和统计分布的关系
已经有10人回复
非线性自治微分方程的稳定性
已经有4人回复
请问一个有理函数的曲线拟合过程如何做,给出数据,请求拟合,
已经有14人回复
MATLAB解方程出现??? Subscripted assignment dimension mismatch.
已经有3人回复
只要心中有梦想,逆风的方向更适合飞翔!DIY版留学励志活动正在进行时
已经有11人回复
【求助】matlab 求解微分方程中的未知参数
已经有20人回复
【求助】实变函数与中学数学
已经有28人回复
【讨论】怎么对数据进行特定函数的拟合
已经有4人回复
急救origin 7.5函数作图
已经有15人回复
» 抢金币啦!回帖就可以得到:
查看全部散金贴
广州大学“长江学者”教授团队2026年海内外高层次人才招聘(环境/化学/生物)
+
1
/96
欢迎报考南京农业大学植物环境适应课题组课题组2026级博士生。
+
1
/90
武汉理工大学刘文课题组(国家优青/湖北杰青)常年招收本科生/硕士生/博士生和博士后
+
1
/86
中国海洋大学与中国水产科学研究院 联合培养 专硕 食品加工与安全
+
1
/74
深圳大学信息功能电子材料方向“申请-考核制”博士生招生
+
2
/38
操作求助
+
1
/33
华南师范大学(211)- 光电科学与工程学院 - 申请审核制(2026年4-5月份面试考核)
+
2
/32
科罗拉多大学 Congjun Yu 课题组招聘
+
1
/28
江西理工大学 稀土学院 稀土功能材料方向 招收2026届博士研究生、硕士研究生
+
1
/26
2026年 陕西科技大学 环境学院 招收博士生(化学/材料/环境/生物 背景均可)
+
1
/12
广东工业大学马琳教授课题组招收2026年博士(材料物理与化学、光学专业)
+
1
/10
江汉大学轩亮教授课题组招博士研究生/博士后
+
1
/8
联合研究团队招聘博后等青年人才
+
1
/7
哈工大(深圳)物理招收2026年9月入学博士生1个名额
+
1
/6
海南大学化学院—功能分子器件团队2026博士/研究助理招生+博士后招聘
+
1
/3
澳科大招收2026年秋季入学药剂学/生物材料方向全奖博士研究生
+
1
/3
推荐一款可以AI辅助写作的Latex编辑器SmartLatexEditor,超级好用,AI润色,全免费
+
1
/3
【博士后/科研助理招聘-北京理工大学-集成电路与电子学院-国家杰青团队】
+
1
/2
中国科学院深圳先进技术研究院——招聘客座研究生
+
3
/1
上海理工顾敏院士/李蔚团队招收2026级博士研究生 (集成光学、量子信息方向)
+
1
/1
1楼
2011-02-25 09:21:36
已阅
回复此楼
关注TA
给TA发消息
送TA红花
TA的回帖
xiaoqing8569
铁杆木虫
(著名写手)
应助: 37
(小学生)
金币: 7382.2
帖子: 1822
在线: 694.6小时
虫号: 458097
★
13500558820(金币
+1
):谢谢参与
13500558820(金币+2): 2011-02-26 16:54:35
引用回帖:
Originally posted by
13500558820
at 2011-02-25 09:21:36:
给出的是方程,但是未知函数不好求解,所以希望能将未知函数进行级数展开
贴出来看看吧
回复此楼
3楼
2011-02-26 15:15:21
已阅
回复此楼
关注TA
给TA发消息
送TA红花
TA的回帖
13500558820
银虫
(文坛精英)
应助: 0
(幼儿园)
金币: 858.4
帖子: 12713
在线: 1168.1小时
虫号: 1140029
求教
引用回帖:
Originally posted by
xiaoqing8569
at 2011-02-26 15:15:21:
贴出来看看吧
方程和结果见附件
赞
一下
回复此楼
4楼
2011-02-26 16:57:08
已阅
回复此楼
关注TA
给TA发消息
送TA红花
TA的回帖
13500558820
银虫
(文坛精英)
应助: 0
(幼儿园)
金币: 858.4
帖子: 12713
在线: 1168.1小时
虫号: 1140029
引用回帖:
Originally posted by
13500558820
at 2011-02-26 16:57:08:
方程和结果见附件
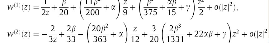
第一行是方程,后面两行诗展开式,文献中没有说明是这么来的
赞
一下
回复此楼
5楼
2011-02-26 16:58:23
已阅
回复此楼
关注TA
给TA发消息
送TA红花
TA的回帖
xiaoqing8569
铁杆木虫
(著名写手)
应助: 37
(小学生)
金币: 7382.2
帖子: 1822
在线: 694.6小时
虫号: 458097
★
13500558820(金币+2): 2011-02-27 12:18:29
dongdong3881(金币+1): 多谢交流 2011-03-03 14:23:52
引用回帖:
Originally posted by
13500558820
at 2011-02-26 16:58:23:
第一行是方程,后面两行诗展开式,文献中没有说明是这么来的
我算了一下,结果非常复杂,没什么实际意义。
去数值解比较有意义。
赞
一下
(1人)
回复此楼
6楼
2011-02-26 20:57:10
已阅
回复此楼
关注TA
给TA发消息
送TA红花
TA的回帖
13500558820
银虫
(文坛精英)
应助: 0
(幼儿园)
金币: 858.4
帖子: 12713
在线: 1168.1小时
虫号: 1140029
引用回帖:
Originally posted by
xiaoqing8569
at 2011-02-26 20:57:10:
我算了一下,结果非常复杂,没什么实际意义。
去数值解比较有意义。
我只要几项,不需要全部的结果,是否有办法 啊
赞
一下
回复此楼
7楼
2011-02-27 12:19:06
已阅
回复此楼
关注TA
给TA发消息
送TA红花
TA的回帖
13500558820
银虫
(文坛精英)
应助: 0
(幼儿园)
金币: 858.4
帖子: 12713
在线: 1168.1小时
虫号: 1140029
引用回帖:
Originally posted by
xiaoqing8569
at 2011-02-26 20:57:10:
我算了一下,结果非常复杂,没什么实际意义。
去数值解比较有意义。
忘了说了,我要的是近似级数展开,是近似的
赞
一下
回复此楼
8楼
2011-03-03 16:30:33
已阅
回复此楼
关注TA
给TA发消息
送TA红花
TA的回帖
xiaoqing8569
铁杆木虫
(著名写手)
应助: 37
(小学生)
金币: 7382.2
帖子: 1822
在线: 694.6小时
虫号: 458097
13500558820(金币+2): 2011-03-04 08:54:49
引用回帖:
Originally posted by
13500558820
at 2011-03-03 16:30:33:
忘了说了,我要的是近似级数展开,是近似的
你给出的w^(1)(z)是一阶导数的意思吗?
赞
一下
回复此楼
9楼
2011-03-03 17:13:43
已阅
回复此楼
关注TA
给TA发消息
送TA红花
TA的回帖
13500558820
银虫
(文坛精英)
应助: 0
(幼儿园)
金币: 858.4
帖子: 12713
在线: 1168.1小时
虫号: 1140029
引用回帖:
Originally posted by
xiaoqing8569
at 2011-03-03 17:13:43:
你给出的w^(1)(z)是一阶导数的意思吗?
不是,意思是结果有2个展开式,都是w(z)
赞
一下
回复此楼
10楼
2011-03-04 08:54:39
已阅
回复此楼
关注TA
给TA发消息
送TA红花
TA的回帖
简单回复
13500558820
2楼
2011-02-25 11:54
回复
相关版块跳转
第一性原理
量子化学
计算模拟
分子模拟
仿真模拟
程序语言
我要订阅楼主
13500558820
的主题更新
10
1/1
返回列表
如果回帖内容含有宣传信息,请如实选中。否则帐号将被全论坛禁言
普通表情
龙
兔
虎
猫
高级回复
(可上传附件)
百度网盘
|
360云盘
|
千易网盘
|
华为网盘
在新窗口页面中打开自己喜欢的网盘网站,将文件上传后,然后将下载链接复制到帖子内容中就可以了。
信息提示
关闭
请填处理意见
关闭
确定