| ²é¿´: 983 | »Ø¸´: 5 | ||
iάÊýľ³æ (ÕýʽдÊÖ)
|
[ÇóÖú]
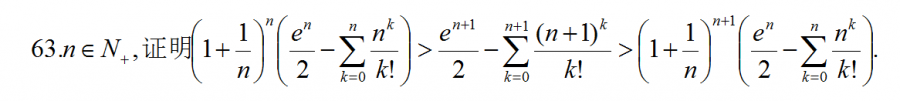
ÈçºÎÖ¤Ã÷Õâ¸ö²»µÈʽ£¿
|
|
|
|
||
hank612ÖÁ×ðľ³æ (ÖøÃûдÊÖ)
|
||
![]() |
||
|
2Â¥2016-08-03 02:41:15
|
|
|
iάÊýľ³æ (ÕýʽдÊÖ)
|
|
|
|
3Â¥2016-08-03 11:01:40
|
|
|
hank612ÖÁ×ðľ³æ (ÖøÃûдÊÖ)
|
|
|
![]() |
||
|
4Â¥2016-08-10 22:54:14
|
|
|
hank612ÖÁ×ðľ³æ (ÖøÃûдÊÖ)
|
» ±¾Ìû¸½¼þ×ÊÔ´Áбí
2016-08-10 23:12:20, 111.04 K
|
|
![]() |
||
|
5Â¥2016-08-10 23:17:20
|
|
|
hank612ÖÁ×ðľ³æ (ÖøÃûдÊÖ)
|
» ±¾Ìû¸½¼þ×ÊÔ´Áбí
2016-08-10 23:29:27, 276.94 K
|
|
![]() |
||
|
6Â¥2016-08-10 23:29:48
|
|













»Ø¸´´ËÂ¥
