| ²é¿´: 1380 | »Ø¸´: 10 | ||
213070312ľ³æ (Ö°Òµ×÷¼Ò)
|
[ÇóÖú]
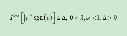
ÖØ½ðÇó½ÌÒ»¸ö¹Ø½Ú·ÖÊý½×²»µÈʽÎÊÌâ¡£ ÒÑÓÐ1È˲ÎÓë
|
|
![]() |
||
|
|
||
213070312ľ³æ (Ö°Òµ×÷¼Ò)
|
||
![]() |
||
|
2Â¥2014-11-20 16:42:35
|
|
|
213070312ľ³æ (Ö°Òµ×÷¼Ò)
|
||
![]() |
||
|
3Â¥2014-11-20 21:19:40
|
|
|
213070312ľ³æ (Ö°Òµ×÷¼Ò)
|
||
![]() |
||
|
4Â¥2014-11-20 21:25:32
|
|
|
213070312ľ³æ (Ö°Òµ×÷¼Ò)
|
||
![]() |
||
|
5Â¥2014-11-20 21:40:41
|
|
|
213070312ľ³æ (Ö°Òµ×÷¼Ò)
|
||
![]() |
||
|
6Â¥2014-11-20 21:58:10
|
|
|
ÖÕ̫֮µ¶¡ªÏþÌú¸Ëľ³æ (ÖøÃûдÊÖ)
Êýѧ°®ºÃÕß
|
||
![]() |
||
|
7Â¥2014-11-21 00:35:48
|
|
|
213070312ľ³æ (Ö°Òµ×÷¼Ò)
|
||
![]() |
||
|
8Â¥2014-11-21 08:46:30
|
|
|
ÖÕ̫֮µ¶¡ªÏþÌú¸Ëľ³æ (ÖøÃûдÊÖ)
Êýѧ°®ºÃÕß
|
¡¾´ð°¸¡¿Ó¦Öú»ØÌû
¸Ðл²ÎÓ룬ӦÖúÖ¸Êý +1
|
|
![]() |
||
|
9Â¥2014-11-22 00:45:08
|
|
|
ÖÕ̫֮µ¶¡ªÏþÌú¸Ëľ³æ (ÖøÃûдÊÖ)
Êýѧ°®ºÃÕß
|
|
|
![]() |
||
|
10Â¥2014-11-22 00:46:35
|
|














»Ø¸´´ËÂ¥