| ²é¿´: 2202 | »Ø¸´: 11 | |||
ysnnľ³æ (СÓÐÃûÆø)
|
[ÇóÖú]
¸ßµÈ´úÊýµÄÖ¤Ã÷Ìâ ÒÑÓÐ1È˲ÎÓë
|
||
|
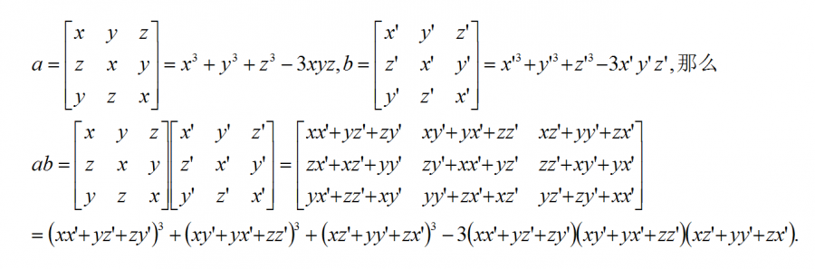
ÈôÕûÊýa,b¶¼¿ÉÒÔ±íʾ³É x^3+y^3+z^3-3xyzµÄÐÎʽ£¬Ö¤Ã÷abÒ²¿ÉÒÔ±íʾ³É x^3+y^3+z^3-3xyzµÄÐÎʽ¡£ Ó¦¸ÃÊÇÓþØÕóÀ´Ö¤Ã÷£¬µ«±¾ÈËŪÁ˰ëÌìûŪ³öÏñÑùµÄ¾ØÕ󣬹ÊÀ´ÇóÖú |
» ²ÂÄãϲ»¶
310Çóµ÷¼Á
ÒѾÓÐ7È˻ظ´
¿¼ÑÐÇóµ÷¼Á
ÒѾÓÐ3È˻ظ´
µ÷¼Á
ÒѾÓÐ4È˻ظ´
Ò»Ö¾Ô¸211£¬0703»¯Ñ§305·ÖÇóµ÷¼Á
ÒѾÓÐ30È˻ظ´
²ÄÁϹ¤³Ì281»¹Óе÷¼Á»ú»áÂð
ÒѾÓÐ14È˻ظ´
Çóµ÷¼Á
ÒѾÓÐ12È˻ظ´
286Çóµ÷¼Á
ÒѾÓÐ21È˻ظ´
303Çóµ÷¼Á
ÒѾÓÐ15È˻ظ´
070300»¯Ñ§279Çóµ÷¼Á
ÒѾÓÐ20È˻ظ´
291Çóµ÷¼Á
ÒѾÓÐ3È˻ظ´
» ±¾Ö÷ÌâÏà¹Ø¼ÛÖµÌùÍÆ¼ö£¬¶ÔÄúͬÑùÓаïÖú:
¼¸µÀ¸ßµÈ´úÊýÇóÖúÌ⣬лл¡£
ÒѾÓÐ5È˻ظ´
¸ßµÈ´úÊý¼¸µÀÌâÇóÖú¡£
ÒѾÓÐ4È˻ظ´
[×ªÔØ]Ò»¸öÀÏÌù:Ò»¸ö¾ÖÍâÈË¿´±±´óÊýѧ¿¼ÑгõÊÔ¼°Êýѧ·ÖÎöѧϰ·½·¨--SCIbird
ÒѾÓÐ11È˻ظ´
¿¼ÊýѧרҵÑо¿Éú¸öÈ˵ÄÒ»µã¸ÐÊÜ
ÒѾÓÐ5È˻ظ´
2014¿¼ÑÐÊýѧ£ºÈçºÎÓ¦¶Ô½â´ðÌ⣿
ÒѾÓÐ1È˻ظ´
¡¶¸ßµÈÊýѧ¡·Ñ§Ï°·½·¨£¨×ª£©
ÒѾÓÐ6È˻ظ´
¡¾×ªÔØ¡¿¿¼Ç°Èý¸öÔ¸ߵÈÊýѧ¿¼Ñгå´ÌÖ¸µ¼
ÒѾÓÐ2È˻ظ´
iάÊý
ľ³æ (ÕýʽдÊÖ)
- ÊýѧEPI: 4
- Ó¦Öú: 74 (³õÖÐÉú)
- ½ð±Ò: 3148.6
- ºì»¨: 10
- Ìû×Ó: 691
- ÔÚÏß: 941.9Сʱ
- ³æºÅ: 3691318
- ×¢²á: 2015-02-17
- ÐÔ±ð: GG
- רҵ: ƫ΢·Ö·½³Ì
¡¾´ð°¸¡¿Ó¦Öú»ØÌû
¡ï ¡ï ¡ï ¡ï ¡ï
ysnn: ½ð±Ò+5, ¡ï¡ï¡ï¡ï¡ï×î¼Ñ´ð°¸, ֮ǰûÏÔʾ³öͼƬ£¬±§Ç¸¡£ÕæÊǰïÁË´óæÁË 2016-04-30 14:01:41
ysnn: ½ð±Ò+5, ¡ï¡ï¡ï¡ï¡ï×î¼Ñ´ð°¸, ֮ǰûÏÔʾ³öͼƬ£¬±§Ç¸¡£ÕæÊǰïÁË´óæÁË 2016-04-30 14:01:41
9Â¥2016-04-30 12:39:05
iάÊý
ľ³æ (ÕýʽдÊÖ)
- ÊýѧEPI: 4
- Ó¦Öú: 74 (³õÖÐÉú)
- ½ð±Ò: 3148.6
- ºì»¨: 10
- Ìû×Ó: 691
- ÔÚÏß: 941.9Сʱ
- ³æºÅ: 3691318
- ×¢²á: 2015-02-17
- ÐÔ±ð: GG
- רҵ: ƫ΢·Ö·½³Ì
¡¾´ð°¸¡¿Ó¦Öú»ØÌû
¡ï ¡ï ¡ï ¡ï ¡ï
¸Ðл²ÎÓ룬ӦÖúÖ¸Êý +1
ysnn: ½ð±Ò+5, ¡ïÓаïÖú 2016-04-30 12:27:36
¸Ðл²ÎÓ룬ӦÖúÖ¸Êý +1
ysnn: ½ð±Ò+5, ¡ïÓаïÖú 2016-04-30 12:27:36
| A=(x,z,y)µÄתÖã¬B=(y,x,z)µÄתÖã¬C=(z,y,x)µÄתÖã¬ÄÇô(A,B,C)=x^3+y^3+z^3-3xyz¡£È»ºóÁ½¸öÕâÖÖÀàÐ͵ľØÕóÏà³Ë»¹ÊÇÕâÖÖÀàÐ͵ľØÕó£¨ÓþØÕóµÄ³Ë·¨³Ë³öÀ´ºó¾Í¿ÉÒÔ¿´³öÀ´ÁË£©£¬Ö¤±Ï |
2Â¥2016-04-30 01:43:12
ysnn
ľ³æ (СÓÐÃûÆø)
- Ó¦Öú: 0 (Ó×¶ùÔ°)
- ½ð±Ò: 2092
- É¢½ð: 50
- ºì»¨: 2
- Ìû×Ó: 102
- ÔÚÏß: 24.6Сʱ
- ³æºÅ: 4535595
- ×¢²á: 2016-03-23
- ÐÔ±ð: GG
- רҵ: ¼ÆËã»úÍøÂç
3Â¥2016-04-30 10:01:27
iάÊý
ľ³æ (ÕýʽдÊÖ)
- ÊýѧEPI: 4
- Ó¦Öú: 74 (³õÖÐÉú)
- ½ð±Ò: 3148.6
- ºì»¨: 10
- Ìû×Ó: 691
- ÔÚÏß: 941.9Сʱ
- ³æºÅ: 3691318
- ×¢²á: 2015-02-17
- ÐÔ±ð: GG
- רҵ: ƫ΢·Ö·½³Ì
4Â¥2016-04-30 10:43:58
ysnn
ľ³æ (СÓÐÃûÆø)
- Ó¦Öú: 0 (Ó×¶ùÔ°)
- ½ð±Ò: 2092
- É¢½ð: 50
- ºì»¨: 2
- Ìû×Ó: 102
- ÔÚÏß: 24.6Сʱ
- ³æºÅ: 4535595
- ×¢²á: 2016-03-23
- ÐÔ±ð: GG
- רҵ: ¼ÆËã»úÍøÂç
|
¿ÉÄÜÊÇÎÒ±íÊöÓÐÎÊÌ⣬ÎÒÊÇÏëÕÒµ½Ã÷È·µÄ¾ØÕó£¬ÊÇx,y,zµ½µ×ÔõôÅÅÁÐµÄ ·¢×ÔСľ³æAndroid¿Í»§¶Ë |
5Â¥2016-04-30 11:11:35
6Â¥2016-04-30 12:28:05
7Â¥2016-04-30 12:32:10
8Â¥2016-04-30 12:35:11
10Â¥2016-04-30 12:39:25













»Ø¸´´ËÂ¥
5