| ²é¿´: 1571 | »Ø¸´: 13 | |||
erwty½ð³æ (ÕýʽдÊÖ)
|
[ÇóÖú]
ƫ΢·Ö·½³ÌµÄÇó½â ÒÑÓÐ4È˲ÎÓë
|
||
|
´ð°¸ÈçÏ£º Âé·³Çë°ÑÏêϸµÄ¹ý³Ìภ|
» ²ÂÄãϲ»¶
»¯¹¤Ñ§Ë¶294·Ö£¬Çóµ¼Ê¦ÊÕÁô
ÒѾÓÐ29È˻ظ´
Çóµ÷¼Á
ÒѾÓÐ10È˻ظ´
¿¼ÑÐÇóµ÷¼Á
ÒѾÓÐ13È˻ظ´
Çóµ÷¼Á
ÒѾÓÐ3È˻ظ´
È˹¤ÖÇÄÜ320µ÷¼Á08¹¤À໹Óлú»áÂð
ÒѾÓÐ17È˻ظ´
¿¼ÑÐÓ¢Ò»ÊýÒ»338·Ö
ÒѾÓÐ10È˻ظ´
ÇóÖúµ÷¼Á£¬¿çµ÷
ÒѾÓÐ15È˻ظ´
085600²ÄÁÏÓ뻯¹¤329·ÖÇóµ÷¼Á
ÒѾÓÐ20È˻ظ´
085600²ÄÁÏÓ뻯¹¤349·ÖÇóµ÷¼Á
ÒѾÓÐ15È˻ظ´
Çóµ÷¼Á
ÒѾÓÐ13È˻ظ´
» ±¾Ö÷ÌâÏà¹Ø¼ÛÖµÌùÍÆ¼ö£¬¶ÔÄúͬÑùÓаïÖú:
ƫ΢·Ö·½³ÌµÄÇó½â£¬ÆäÖгöÏÖÁË´íÎó£¬Çë´óÉñ½â´ðÒ»ÏÂÄǸöµØ·½²»¶Ô
ÒѾÓÐ2È˻ظ´
ƫ΢·Ö·½³ÌµÄÇó½â£¡
ÒѾÓÐ26È˻ظ´
ƫ΢·Ö·½³ÌµÄÇó½â
ÒѾÓÐ6È˻ظ´
Ò»½×ƫ΢·Ö·½³ÌµÄÇó½â ллÀ²
ÒѾÓÐ2È˻ظ´
ƫ΢·Ö·½³ÌµÄÇó½âÎÊÌ⣬лл£¡
ÒѾÓÐ0È˻ظ´
ÇóÖúÒ»¸öƫ΢·Ö·½³ÌµÄÇó½â¹ý³Ì¡¢»òÕßÈí¼þ¼ÆËã¹ý³Ì¡£
ÒѾÓÐ2È˻ظ´
mathstudy
½ð³æ (ÕýʽдÊÖ)
- ÊýѧEPI: 2
- Ó¦Öú: 161 (¸ßÖÐÉú)
- ½ð±Ò: 4320.1
- É¢½ð: 38
- ºì»¨: 16
- Ìû×Ó: 446
- ÔÚÏß: 141.1Сʱ
- ³æºÅ: 2515489
- ×¢²á: 2013-06-20
- ÐÔ±ð: GG
- רҵ: ¼ÆËãÊýѧÓë¿ÆÑ§¹¤³Ì¼ÆËã
¡¾´ð°¸¡¿Ó¦Öú»ØÌû
¡ï ¡ï ¡ï ¡ï ¡ï ¡ï ¡ï ¡ï ¡ï ¡ï ¡ï ¡ï ¡ï ¡ï ¡ï ¡ï ¡ï ¡ï ¡ï ¡ï ¡ï ¡ï ¡ï ¡ï ¡ï ¡ï ¡ï ¡ï ¡ï ¡ï ¡ï ¡ï ¡ï ¡ï ¡ï ¡ï ¡ï ¡ï ¡ï ¡ï ¡ï ¡ï ¡ï ¡ï ¡ï ¡ï ¡ï ¡ï ¡ï ¡ï ¡ï ¡ï ...
erwty: ½ð±Ò+100, ¡ï¡ï¡ï¡ï¡ï×î¼Ñ´ð°¸, лл 2015-09-10 15:02:12
erwty: ½ð±Ò+40 2015-09-12 15:55:55
erwty: ½ð±Ò+100, ¡ï¡ï¡ï¡ï¡ï×î¼Ñ´ð°¸, лл 2015-09-10 15:02:12
erwty: ½ð±Ò+40 2015-09-12 15:55:55
|
Âú×ã±ßÖµµÄÌØÕ÷º¯ÊýΪ |
4Â¥2015-09-10 11:41:15
mathstudy
½ð³æ (ÕýʽдÊÖ)
- ÊýѧEPI: 2
- Ó¦Öú: 161 (¸ßÖÐÉú)
- ½ð±Ò: 4320.1
- É¢½ð: 38
- ºì»¨: 16
- Ìû×Ó: 446
- ÔÚÏß: 141.1Сʱ
- ³æºÅ: 2515489
- ×¢²á: 2013-06-20
- ÐÔ±ð: GG
- רҵ: ¼ÆËãÊýѧÓë¿ÆÑ§¹¤³Ì¼ÆËã
2Â¥2015-09-10 10:55:26
erwty
½ð³æ (ÕýʽдÊÖ)
- Ó¦Öú: 0 (Ó×¶ùÔ°)
- ½ð±Ò: 490.3
- Ìû×Ó: 684
- ÔÚÏß: 78.4Сʱ
- ³æºÅ: 2650753
- ×¢²á: 2013-09-12
- רҵ: µç»¯Ñ§
3Â¥2015-09-10 10:57:13
peterflyer
ľ³æÖ®Íõ (ÎÄѧ̩¶·)
peterflyer
- ÊýѧEPI: 10
- Ó¦Öú: 20282 (Ժʿ)
- ½ð±Ò: 146248
- ºì»¨: 1374
- Ìû×Ó: 93091
- ÔÚÏß: 7694.3Сʱ
- ³æºÅ: 1482829
- ×¢²á: 2011-11-08
- ÐÔ±ð: GG
- רҵ: ¹¦ÄÜÌÕ´É
¡¾´ð°¸¡¿Ó¦Öú»ØÌû
¸Ðл²ÎÓ룬ӦÖúÖ¸Êý +1
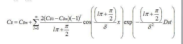
| ËÄÂ¥mathstudy´óÉñµÄµÄ»Ø´ðºÜÔ²Âú¡£±¾À´ÎÒ»¹ÏëӦ¥Ö÷µÄÒªÇóд³ö½â´ð¹ý³ÌµÄ£¬µ«ÏÖÔÚ¿´¾ÍûÕâ¸ö±ØÒªÁË¡£ºÍÉϴεÄÒ»Ñù£¬Õâ´ÎµÄÒ²ÐèÒªÏÈ×öÒ»¸ö´ú»»C=CB-CBm£¬ÎªµÄÊÇÔÚÒÔºóÓ¦Óñ߽çÌõ¼þʱ¸ü¼ÓÓÐÁ¦ºÍ¼òµ¥Ò»Ð©¡£·ñÔò²»ÈÝÒ׵óö¦ËµÄÖµµÄ¡£ÆäËûµÄ¾ÍºÍÔÀ´µÄ²î²»¶à£¬Ö»ÊÇÕýÏÒ¼¶Êý¸Ä»»³ÉÁËÓàÏÒ¼¶ÊýÁË¡£ºÇºÇ¡£ |
5Â¥2015-09-10 12:57:35
erwty
½ð³æ (ÕýʽдÊÖ)
- Ó¦Öú: 0 (Ó×¶ùÔ°)
- ½ð±Ò: 490.3
- Ìû×Ó: 684
- ÔÚÏß: 78.4Сʱ
- ³æºÅ: 2650753
- ×¢²á: 2013-09-12
- רҵ: µç»¯Ñ§
6Â¥2015-09-10 14:39:52
ÖÕ̫֮µ¶¡ªÏþ
Ìú¸Ëľ³æ (ÖøÃûдÊÖ)
Êýѧ°®ºÃÕß
- ÊýѧEPI: 7
- Ó¦Öú: 282 (´óѧÉú)
- ¹ó±ö: 0.018
- ½ð±Ò: 2934.2
- É¢½ð: 5589
- ºì»¨: 53
- Ìû×Ó: 1809
- ÔÚÏß: 401.6Сʱ
- ³æºÅ: 3469007
- ×¢²á: 2014-10-12
- ÐÔ±ð: MM
- רҵ: ƫ΢·Ö·½³Ì
¡¾´ð°¸¡¿Ó¦Öú»ØÌû
¡ï ¡ï ¡ï ¡ï ¡ï ¡ï ¡ï ¡ï ¡ï ¡ï ¡ï ¡ï ¡ï ¡ï ¡ï ¡ï ¡ï ¡ï ¡ï ¡ï ¡ï ¡ï ¡ï ¡ï ¡ï
¸Ðл²ÎÓ룬ӦÖúÖ¸Êý +1
erwty: ½ð±Ò+10, ¡ï¡ï¡ïºÜÓаïÖú 2015-09-12 15:50:28
feixiaolin: ½ð±Ò+15, http://emuch.net/bbs/viewthread.php?tid=9452448&fpage=1 +15 2015-10-03 08:43:11
¸Ðл²ÎÓ룬ӦÖúÖ¸Êý +1
erwty: ½ð±Ò+10, ¡ï¡ï¡ïºÜÓаïÖú 2015-09-12 15:50:28
feixiaolin: ½ð±Ò+15, http://emuch.net/bbs/viewthread.php?tid=9452448&fpage=1 +15 2015-10-03 08:43:11
|
¾ÍÊÇ¡Ò[0,¦Ä]cos(¦Ë_m¡¤x)¡¤cos(¦Ë_n¡¤x)dx=0£¬µ±m¡Ùn; ¡Ù0£¬µ±m=n. [ ·¢×ÔÊÖ»ú°æ http://muchong.com/3g ] |

7Â¥2015-09-10 14:48:55
erwty
½ð³æ (ÕýʽдÊÖ)
- Ó¦Öú: 0 (Ó×¶ùÔ°)
- ½ð±Ò: 490.3
- Ìû×Ó: 684
- ÔÚÏß: 78.4Сʱ
- ³æºÅ: 2650753
- ×¢²á: 2013-09-12
- רҵ: µç»¯Ñ§
8Â¥2015-09-10 14:54:07
erwty
½ð³æ (ÕýʽдÊÖ)
- Ó¦Öú: 0 (Ó×¶ùÔ°)
- ½ð±Ò: 490.3
- Ìû×Ó: 684
- ÔÚÏß: 78.4Сʱ
- ³æºÅ: 2650753
- ×¢²á: 2013-09-12
- רҵ: µç»¯Ñ§
9Â¥2015-09-10 15:01:09
mathstudy
½ð³æ (ÕýʽдÊÖ)
- ÊýѧEPI: 2
- Ó¦Öú: 161 (¸ßÖÐÉú)
- ½ð±Ò: 4320.1
- É¢½ð: 38
- ºì»¨: 16
- Ìû×Ó: 446
- ÔÚÏß: 141.1Сʱ
- ³æºÅ: 2515489
- ×¢²á: 2013-06-20
- ÐÔ±ð: GG
- רҵ: ¼ÆËãÊýѧÓë¿ÆÑ§¹¤³Ì¼ÆËã
10Â¥2015-09-10 16:50:46














»Ø¸´´ËÂ¥
erwty