版块导航
正在加载中...
客户端APP下载
登录
注册
帖子
帖子
用户
本版
应《网络安全法》要求,自2017年10月1日起,未进行实名认证将不得使用互联网跟帖服务。为保障您的帐号能够正常使用,请尽快对帐号进行手机号验证,感谢您的理解与支持!
24小时热门版块排行榜
>
论坛更新日志
(2752)
>
文献求助
(231)
>
虫友互识
(206)
>
导师招生
(135)
>
论文投稿
(92)
>
休闲灌水
(89)
>
仿真模拟
(63)
>
考博
(59)
>
基金申请
(40)
>
硕博家园
(34)
>
博后之家
(32)
>
找工作
(25)
>
绿色求助(高悬赏)
(24)
>
考研
(22)
>
招聘信息布告栏
(21)
>
公派出国
(20)
小木虫论坛-学术科研互动平台
»
化学化工区
»
高分子
»
合成制备
»
好心人帮我看下我所写的这两个反应能发生否
9
1/1
返回列表
查看: 795 | 回复: 8
只看楼主
@他人
存档
新回复提醒
(忽略)
收藏
在APP中查看
水晶娃娃20
新虫
(初入文坛)
应助: 0
(幼儿园)
金币: 3.3
帖子: 14
在线: 3.7小时
虫号: 3512795
注册: 2014-11-01
专业: 无机非金属类电介质与电解
[
求助
]
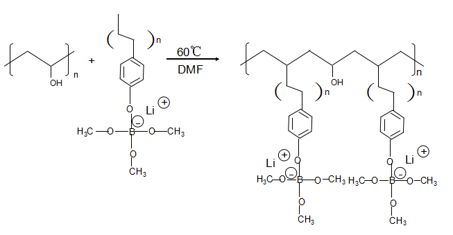
好心人帮我看下我所写的这两个反应能发生否
已有1人参与
如果能反应的话,计算反应量时,那个n要怎么设呀,是个高分子化学痴,请麻烦讲的明白些~
图片1.png
图片2.png
回复此楼
» 猜你喜欢
26/27申博自荐
已经有10人回复
东北林业大学材料科学与工程学院“一流”A+学科国家级人才团队课题组招收2026级博士生
已经有3人回复
医学类期刊求推荐
已经有5人回复
生活琐事由它去
已经有4人回复
提交了我也来说说感想
已经有12人回复
青B发送上会通知了吗
已经有9人回复
西安交大新媒学院副院长用撤稿论文结题
已经有6人回复
论文撤稿了
已经有8人回复
化学专业申博
已经有4人回复
某211大学教师把个人教师官方主页改成:我跑了我跑了我跑了!官宣跑路!
已经有5人回复
» 本主题相关商家推荐:
(我也要在这里推广)
» 本主题相关价值贴推荐,对您同样有帮助:
哪位高手帮我看看这个定理?关于反应扩散方程的
已经有4人回复
关于温度的传递问题,能否有人帮我看一下这个UDF是哪里出了错误呢?
已经有10人回复
帮我看一下SEM图下的各个参数代表什么意思呢?求高手指点
已经有5人回复
CV测试时的问题,请各位大神进来看下帮帮我这个新手
已经有15人回复
帮我看下这个紫外可见光谱图什么意思
已经有9人回复
帮我看下我的磨损形貌
已经有8人回复
能谱分析结果:帮我看看能否说明有腐蚀发生吧~!
已经有3人回复
好心人帮助我看看DNA电泳图吧!
已经有33人回复
t测验结果分析,帮我看下这两组数有没有显著性差异 spss的结果
已经有7人回复
大神帮我看下下面零件的定位方式是否恰当~
已经有19人回复
求各位大神帮我看下一个小小的程序,只需要你一点儿时间。就会帮我很大的忙
已经有15人回复
大家能帮我看一下这个SEM图像是怎么回事?
已经有14人回复
大家帮我看下反应内扩散还是外扩散影响。
已经有3人回复
高手帮我看下这个XRD图,除了我总结的看出的结论,还有哪些?
已经有10人回复
大家帮我看看这两个吸附脱附曲线 主要是什么类型的孔
已经有10人回复
请问如何查找某篇文章是否ISTP收录呢?或者谁能帮我看看这篇会议论文是否ISTP
已经有6人回复
大家帮我看一下,核磁,有几个峰搞的不是很清楚
已经有40人回复
投稿被拒了,不甘心想写信给编辑,大家帮我看下该怎么写?
已经有10人回复
【求助】帮我看一下这个红外谱图位置是什么峰
已经有12人回复
1楼
2015-07-12 11:14:40
已阅
回复此楼
关注TA
给TA发消息
送TA红花
TA的回帖
dong5391
金虫
(著名写手)
江湖散仙
应助: 3
(幼儿园)
金币: 3952.6
散金: 267
红花: 10
沙发: 7
帖子: 2802
在线: 485.6小时
虫号: 1404393
注册: 2011-09-16
性别: GG
专业: 能源化工
★ ★ ★ ★ ★
水晶娃娃20(无视军团代发): 金币+5, 应楼主要求,代发金币,欢迎常来高分子
2015-07-14 14:30:40
计算一下吉布斯自由能,算一下嘛,用高斯算吧
[ 发自小木虫客户端 ]
赞
一下
(1人)
回复此楼
我思故我在
2楼
2015-07-12 14:15:17
已阅
回复此楼
关注TA
给TA发消息
送TA红花
TA的回帖
水晶娃娃20
新虫
(初入文坛)
应助: 0
(幼儿园)
金币: 3.3
帖子: 14
在线: 3.7小时
虫号: 3512795
注册: 2014-11-01
专业: 无机非金属类电介质与电解
引用回帖:
2楼
:
Originally posted by
dong5391
at 2015-07-12 14:15:17
计算一下吉布斯自由能,算一下嘛,用高斯算吧
啊哦,不大会耶~
回复此楼
3楼
2015-07-13 08:36:37
已阅
回复此楼
关注TA
给TA发消息
送TA红花
TA的回帖
dong5391
金虫
(著名写手)
江湖散仙
应助: 3
(幼儿园)
金币: 3952.6
散金: 267
红花: 10
沙发: 7
帖子: 2802
在线: 485.6小时
虫号: 1404393
注册: 2011-09-16
性别: GG
专业: 能源化工
引用回帖:
3楼
:
Originally posted by
水晶娃娃20
at 2015-07-13 08:36:37
啊哦,不大会耶~...
学习一下,挺好学的
[ 发自小木虫客户端 ]
赞
一下
回复此楼
我思故我在
4楼
2015-07-13 08:45:15
已阅
回复此楼
关注TA
给TA发消息
送TA红花
TA的回帖
caominone
木虫之王
(知名作家)
膜分离专家
PEPI: 5
应助: 1185
(博后)
贵宾: 2.526
金币: 52540.4
散金: 12357
红花: 213
沙发: 81
帖子: 6781
在线: 1439.6小时
虫号: 1147879
注册: 2010-11-16
性别: GG
专业: 有机合成
【答案】应助回帖
感谢参与,应助指数 +1
可以反应的 n是不用取值的 这是高分子的聚合度。
赞
一下
回复此楼
锅可以背,但不能不明不白
5楼
2015-07-13 10:18:41
已阅
回复此楼
关注TA
给TA发消息
送TA红花
TA的回帖
水晶娃娃20
新虫
(初入文坛)
应助: 0
(幼儿园)
金币: 3.3
帖子: 14
在线: 3.7小时
虫号: 3512795
注册: 2014-11-01
专业: 无机非金属类电介质与电解
引用回帖:
5楼
:
Originally posted by
caominone
at 2015-07-13 10:18:41
可以反应的 n是不用取值的 这是高分子的聚合度。
嗯哪,现在才明白这个了~谢谢啦
赞
一下
回复此楼
6楼
2015-07-13 15:16:10
已阅
回复此楼
关注TA
给TA发消息
送TA红花
TA的回帖
caominone
木虫之王
(知名作家)
膜分离专家
PEPI: 5
应助: 1185
(博后)
贵宾: 2.526
金币: 52540.4
散金: 12357
红花: 213
沙发: 81
帖子: 6781
在线: 1439.6小时
虫号: 1147879
注册: 2010-11-16
性别: GG
专业: 有机合成
引用回帖:
6楼
:
Originally posted by
水晶娃娃20
at 2015-07-13 15:16:10
嗯哪,现在才明白这个了~谢谢啦...
不用谢 好好学习
回复此楼
锅可以背,但不能不明不白
7楼
2015-07-13 15:23:13
已阅
回复此楼
关注TA
给TA发消息
送TA红花
TA的回帖
水晶娃娃20
新虫
(初入文坛)
应助: 0
(幼儿园)
金币: 3.3
帖子: 14
在线: 3.7小时
虫号: 3512795
注册: 2014-11-01
专业: 无机非金属类电介质与电解
我要怎么给金币呢?小虫子还不太懂~
赞
一下
回复此楼
8楼
2015-07-13 15:49:35
已阅
回复此楼
关注TA
给TA发消息
送TA红花
TA的回帖
caominone
木虫之王
(知名作家)
膜分离专家
PEPI: 5
应助: 1185
(博后)
贵宾: 2.526
金币: 52540.4
散金: 12357
红花: 213
沙发: 81
帖子: 6781
在线: 1439.6小时
虫号: 1147879
注册: 2010-11-16
性别: GG
专业: 有机合成
【答案】应助回帖
引用回帖:
8楼
:
Originally posted by
水晶娃娃20
at 2015-07-13 15:49:35
我要怎么给金币呢?小虫子还不太懂~
评分就可以 也可以让版主代给
赞
一下
回复此楼
锅可以背,但不能不明不白
9楼
2015-07-14 09:07:04
已阅
回复此楼
关注TA
给TA发消息
送TA红花
TA的回帖
相关版块跳转
有机交流
有机资源
高分子
无机/物化
分析
催化
工艺技术
化工设备
石油化工
精细化工
电化学
环境
SciFinder/Reaxys
我要订阅楼主
水晶娃娃20
的主题更新
9
1/1
返回列表
如果回帖内容含有宣传信息,请如实选中。否则帐号将被全论坛禁言
普通表情
龙
兔
虎
猫
百度网盘
|
360云盘
|
千易网盘
|
华为网盘
在新窗口页面中打开自己喜欢的网盘网站,将文件上传后,然后将下载链接复制到帖子内容中就可以了。
信息提示
关闭
请填处理意见
关闭
确定