| 查看: 1651 | 回复: 0 | |||
maskjp木虫 (小有名气)
|
[求助]
求出六元二次方程组的多组解
|
|
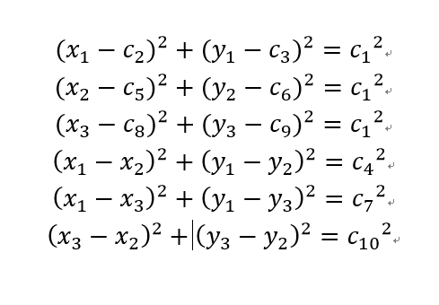
图片中的六元二次方程组,c都为常数,运算时会赋值,其他为未知数。c不同时。方程组的解的个数也不相同。有时无解,有时有解甚至多解。在有解的情况下,我希望能求出它的全部组解,或者尽量多组解。但是用solve无法求出它的符号解。用fsolve只能求出一个解出来。我该怎么做才能 得到多个解呢? w144h2400318_1434016932_360.png |
» 猜你喜欢
今年春晚有几个节目很不错,点赞!
已经有9人回复
情人节自我反思:在爱情中有过遗憾吗?
已经有10人回复
基金正文30页指的是报告正文还是整个申请书
已经有5人回复
过年走亲戚时感受到了所开私家车的鄙视链
已经有5人回复
找到一些相关的精华帖子,希望有用哦~
一个六元方程组
已经有5人回复
有一组数据,三个变量一个因变量,怎么拟合回归出一个强度公式
已经有4人回复
求助用matlab解多元指数型方程组
已经有10人回复
请教前辈:该二元二阶微分方程组中的两个变量的表达式如何求呢?
已经有16人回复
matlab 如何求解多元二阶微分方程组
已经有7人回复
请教数学系前辈,关于一个二元二阶微分方程组,如何求得方程中两个变量的比值呢
已经有7人回复
2014年度浙江省自然科学基金拟资助项目清单
已经有14人回复
请大师帮忙解决一道二元二次方程组,急,谢谢!
已经有3人回复
求解二元二次方程组
已经有34人回复
求助,matlab求解二元二阶的常微分方程组
已经有9人回复
求高手解一个二元二次方程组的解析解
已经有9人回复
初学者,请教大家关于matlab解多元二次方程组
已经有4人回复
科研从小木虫开始,人人为我,我为人人













回复此楼
点击这里搜索更多相关资源