版块导航
正在加载中...
客户端APP下载
登录
注册
帖子
帖子
用户
本版
应《网络安全法》要求,自2017年10月1日起,未进行实名认证将不得使用互联网跟帖服务。为保障您的帐号能够正常使用,请尽快对帐号进行手机号验证,感谢您的理解与支持!
24小时热门版块排行榜
>
论坛更新日志
(3359)
>
虫友互识
(438)
>
文献求助
(399)
>
导师招生
(229)
>
论文投稿
(144)
>
休闲灌水
(141)
>
考博
(122)
>
仿真模拟
(107)
>
硕博家园
(78)
>
基金申请
(65)
>
招聘信息布告栏
(54)
>
博后之家
(47)
>
教师之家
(47)
>
找工作
(36)
>
绿色求助(高悬赏)
(33)
>
公派出国
(31)
小木虫论坛-学术科研互动平台
»
专业学科区
»
机械
»
机械综合
»
一些电功率计算公式
1
1/1
返回列表
查看: 640 | 回复: 0
只看楼主
@他人
存档
新回复提醒
(忽略)
收藏
在APP中查看
skyzcy
木虫
(小有名气)
应助: 0
(幼儿园)
金币: 1480.7
帖子: 52
在线: 25.9小时
虫号: 3515811
注册: 2014-11-03
专业: 金属基复合材料
[
求助
]
一些电功率计算公式
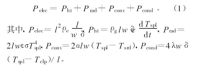
《冷轧薄板试样电阻加热过程分析》里所用到的电功率和对流换热系数计算公式出处,教材也可以。本人小白,完全没接触过这方面东西,但是老板让做这方面的设计。。。所以要恶补一下
电功率.jpg
对流换热系数.jpg
回复此楼
» 收录本帖的淘帖专辑推荐
淘贴淘宝
» 猜你喜欢
电动调节阀/气动调节阀哪家好?一文详解国内外知名品牌与选型要点
已经有0人回复
一体化/生活污水处理设备哪个公司信誉好?信用评级高、履约能力强
已经有0人回复
机械工程论文润色/翻译怎么收费?
已经有126人回复
南方科技大学机械与能源工程系-邓辉研究员招收2026级博士生
已经有0人回复
南方科技大学机械与能源工程系-邓辉研究员招收2026级博士生
已经有1人回复
南方科技大学机械与能源工程系-邓辉研究员招收2026级博士生
已经有0人回复
上海交通大学智慧能源创新学院曾美容课题组招聘博士后
已经有1人回复
猪源性成分PCR检测试剂盒怎么用?上海烜雅生物教你如何正确处理
已经有0人回复
猪源性成分PCR检测试剂盒,厂家推荐与深度剖析
已经有0人回复
科研检测放心用:高灵敏度国产PCR试剂盒推荐
已经有0人回复
如何选择人/小鼠肿瘤坏死因子α试剂盒?从国产品牌到国际大牌的对比
已经有0人回复
1楼
2015-06-14 16:32:20
已阅
回复此楼
关注TA
给TA发消息
送TA红花
TA的回帖
智能机器人
Robot
(super robot)
我们都爱小木虫
找到一些相关的精华帖子,希望有用哦~
有没有对小功率电机了解的
已经有41人回复
有关超级电容器的功率密度和能量密度计算得问题
已经有6人回复
关于超级电容器的能量密度-功率密度作图有一个小疑问,求高手解答
已经有17人回复
超级电容器双电极体系的能量密度和功率密度的准确计算公式
已经有7人回复
风速和风电功率预测的英文文章可以投哪些期刊啊,最好是不要版面费的
已经有5人回复
关于超级电容器的能量密度和功率密度这两个性能参数、业内大牛指导一下不胜感激!!!
已经有3人回复
斯托克斯位移(Stokes shift)的计算
已经有4人回复
电机额定功率一定的情况下,外界负荷对实际功率的影响
已经有12人回复
如何计算电功率
已经有4人回复
为什么飞秒脉冲激光比连续激光的功率大
已经有8人回复
关于激光器的功率问题
已经有5人回复
电机驱动8t压力容器30r/min,如何计算驱动电机的功率,如图
已经有6人回复
请问大家,溅射时的功率密度该怎么选择呢?
已经有12人回复
飞秒激光的峰值功率密度怎么计算?
已经有3人回复
ANSYS 怎么计算加热功率
已经有6人回复
风机的实际功率和额定功率什么关系
已经有9人回复
一般搅拌器的功率与搅拌介质的关系
已经有5人回复
太阳能电池的组件功率是什么意思?
已经有5人回复
超容功率密度计算公式中的单位,小问题,
已经有3人回复
几种分析设备的功率
已经有3人回复
【求助】急求 电容器中关于功率密度的计算公式是什么
已经有4人回复
【求助】锂电池的功率密度怎么测试,还是计算的?
已经有6人回复
【求助】电化学电容器电容量、功率密度和能量密度的计算方法?
已经有29人回复
【求助】放电曲线计算比能量和比功率的问题
已经有6人回复
【讨论】功率密度。能量密度的计算方法
已经有4人回复
【求助】超级电容器能量密度和功率密度计算公式
已经有6人回复
【求助】电池的功率密度
已经有4人回复
【讨论】关于超级电容器的功率密度
已经有6人回复
点击这里搜索更多相关资源
科研从小木虫开始,人人为我,我为人人
相关版块跳转
数理科学综合
机械
物理
数学
农林
食品
地学
能源
信息科学
土木建筑
航空航天
转基因
我要订阅楼主
skyzcy
的主题更新
1
1/1
返回列表
如果回帖内容含有宣传信息,请如实选中。否则帐号将被全论坛禁言
普通表情
龙
兔
虎
猫
百度网盘
|
360云盘
|
千易网盘
|
华为网盘
在新窗口页面中打开自己喜欢的网盘网站,将文件上传后,然后将下载链接复制到帖子内容中就可以了。
信息提示
关闭
请填处理意见
关闭
确定