| 查看: 1084 | 回复: 7 | ||
[求助]
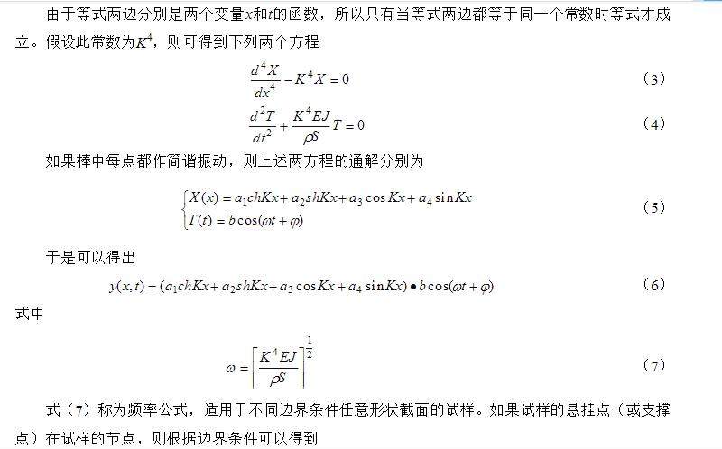
物理实验中用动态法求固体材料的杨氏模量。其中部分参数的含义。具体见图 已有1人参与
|
||
|
|
||
|
2楼2015-06-06 15:34:13
|
|
|
peterflyer
|
【答案】应助回帖
★ ★ ★ ★ ★ ★ ★ ★ ★ ★ ★ ★ ★ ★ ★ ★ ★ ★ ★ ★ ★ ★ ★ ★
感谢参与,应助指数 +1 queen_man: 金币+4, ★★★很有帮助 2015-06-06 21:57:04 leongoall: 金币+20, 3Q! 辛苦了! 2015-06-06 22:34:57
|
|
|
3楼2015-06-06 16:41:39
|
|
|
|
4楼2015-06-06 21:42:56
|
|
|
peterflyer
|
||
|
5楼2015-06-06 21:49:51
|
|
|
uvwxmc金虫 (正式写手)
|
||
|
6楼2015-06-07 01:14:53
|
|
|
|
7楼2015-06-07 09:00:48
|
|
|
uvwxmc金虫 (正式写手)
|
||
|
8楼2015-06-08 00:51:05
|
|














如题。
回复此楼

谢谢