版块导航
正在加载中...
客户端APP下载
论文辅导
调剂小程序
登录
注册
帖子
帖子
用户
本版
应《网络安全法》要求,自2017年10月1日起,未进行实名认证将不得使用互联网跟帖服务。为保障您的帐号能够正常使用,请尽快对帐号进行手机号验证,感谢您的理解与支持!
24小时热门版块排行榜
>
论坛更新日志
(1411)
>
虫友互识
(126)
>
硕博家园
(52)
>
导师招生
(45)
>
考博
(36)
>
考研
(30)
>
博后之家
(20)
>
公派出国
(20)
>
教师之家
(19)
>
论文投稿
(19)
>
休闲灌水
(19)
>
论文道贺祈福
(16)
>
基金申请
(15)
>
找工作
(13)
>
招聘信息布告栏
(4)
>
文献求助
(3)
小木虫论坛-学术科研互动平台
»
化学化工区
»
电化学
»
电分析测试
»
有没有懂关于过氧化氢的催化的循环伏安曲线的亲
1
1/1
返回列表
查看: 599 | 回复: 0
只看楼主
@他人
存档
新回复提醒
(忽略)
收藏
在APP中查看
zyqyang
金虫
(初入文坛)
应助: 0
(幼儿园)
金币: 712.1
散金: 210
帖子: 28
在线: 11.5小时
虫号: 2629168
注册: 2013-09-02
专业: 配位化学
[
求助
]
有没有懂关于过氧化氢的催化的循环伏安曲线的亲
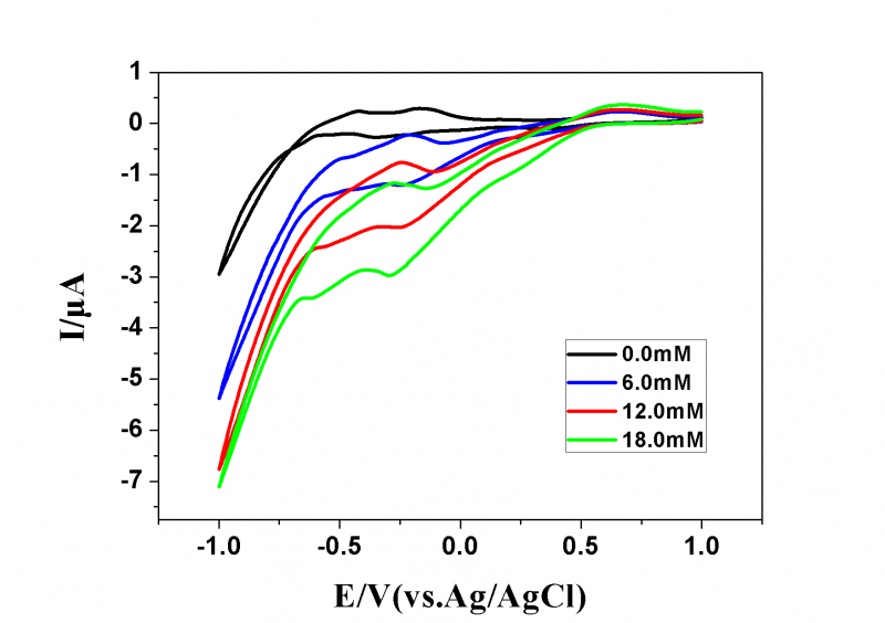
“随着过氧化氢浓度的增加,可以清楚发现三个还原峰电流的增大,与此同时,相对应的氧化峰电流减小,这种实验现象表明P5W30O11014-杂多阴离子还原了过氧化氢”为什么可以根据峰电流就能判断还原了过氧化氢??还有氧化峰和还原峰电流增大和减小描述是否正确(见图)
11111.png
回复此楼
» 猜你喜欢
德国Karlsruhe Institute of Technology招收电化学储能及联合培养CSC博士等
已经有20人回复
德国Karlsruhe Institute of Technology招收电化学储能及联合培养CSC博士
已经有24人回复
分析化学论文润色/翻译怎么收费?
已经有128人回复
德国Karlsruhe Institute of Technology招收电化学储能及联合培养CSC博士
已经有1人回复
固态锂金属电池迁移数计算求助
已经有1人回复
荷兰奈梅亨大学赵文博与Galimberti课题组招收理论计算CSC博士 2000 欧元/月+房补
已经有0人回复
26储能博士申请自荐
已经有23人回复
上海交通大学--宁波东方理工大学电池方向博士招生
已经有10人回复
海南大学全国重点实验室杨金霖老师招收储能电池方向博士生(2026年3月报名,9月入学)
已经有1人回复
海南师范大学2026年博士研究生招收 (在职想提升学历人员可报考) 申请考核制+普通招考
已经有1人回复
申博求助
已经有0人回复
1楼
2015-05-13 20:36:01
已阅
回复此楼
关注TA
给TA发消息
送TA红花
TA的回帖
智能机器人
Robot
(super robot)
我们都爱小木虫
找到一些相关的精华帖子,希望有用哦~
审稿人提问:循环伏安曲线为什么没有氧化还原峰
已经有34人回复
求助石墨烯材料循环伏安曲线的问题
已经有7人回复
超级电容器循环伏安曲线分析
已经有6人回复
循环伏安曲线(CV)为什么多出一个峰来?
已经有4人回复
循环伏安曲线不稳定 起伏很大 怎么处理
已经有5人回复
由循环伏安曲线求电容 求好心人解答 急!!!不胜感激啊
已经有8人回复
关于循环伏安曲线不能闭合
已经有9人回复
循环伏安曲线围成的积分面积有单位吗?
已经有8人回复
循环伏安曲线与标准电极电势
已经有3人回复
循环伏安曲线只有还原峰没有氧化峰
已经有19人回复
循环伏安曲线图分析
已经有8人回复
求助,循环伏安曲线测试中 没有出现氧化峰 附图
已经有7人回复
循环伏安曲线的疑问
已经有6人回复
我的循环伏安曲线中氧化物的还原峰为什么不明显?
已经有16人回复
我的循环伏安曲线(CV)为什么多出一个峰来
已经有25人回复
请教循环伏安曲线一个问题
已经有10人回复
KI的循环伏安曲线为什么交叉了?
已经有9人回复
【求助】极化曲线与循环伏安的扫速问题
已经有7人回复
【求助】急!!!甲醇电催化氧化循环伏安曲线问题
已经有7人回复
【求助】关于循环伏安曲线分析及基本问题
已经有3人回复
【求助】大家帮我看看我的循环伏安曲线,给个解释呗
已经有8人回复
求助 循环伏安曲线
已经有21人回复
点击这里搜索更多相关资源
科研从小木虫开始,人人为我,我为人人
相关版块跳转
有机交流
有机资源
高分子
无机/物化
分析
催化
工艺技术
化工设备
石油化工
精细化工
电化学
环境
SciFinder/Reaxys
我要订阅楼主
zyqyang
的主题更新
1
1/1
返回列表
如果回帖内容含有宣传信息,请如实选中。否则帐号将被全论坛禁言
普通表情
龙
兔
虎
猫
百度网盘
|
360云盘
|
千易网盘
|
华为网盘
在新窗口页面中打开自己喜欢的网盘网站,将文件上传后,然后将下载链接复制到帖子内容中就可以了。
信息提示
关闭
请填处理意见
关闭
确定