| ²é¿´: 3554 | »Ø¸´: 13 | ||
LiСß÷гæ (³õÈëÎÄ̳)
|
[ÇóÖú]
VASP½á¹¹ÓÅ»¯²»ÊÕÁ² ÒÑÓÐ3È˲ÎÓë
|
|
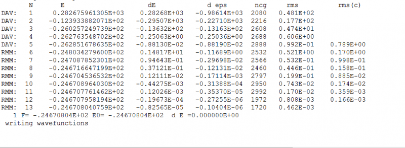
¸÷λǰ±²£¬ÇóÖú£¡£¡£¡ºÜ¼±![]() ![]() ![]() µÚÒ»´Î·¢Ìû£¬Ï£Íû´ó¼ÒÄÜÓдóÉñ°ï°ï²ËÄñÎÒÏÖÔÚ°ÑһЩÐÔÖÊËãÍêÁË£¬²Å·¢ÏֽṹÓÅ»¯Ê±Ã»ÓÐÊÕÁ²£¬ÎÒÊDzËÄñһö£¬ÒÔΪÄÇÑù£¨ÏÂͼËùʾ£©¾ÍÊÇÊÕÁ²ÁË http:// ÎÒµÄINCAR£¬Ö»ÓÐ4¸öÔ×Ó http:// |
» ²ÂÄãϲ»¶
×Ü·Ö293Çóµ÷¼Á
ÒѾÓÐ3È˻ظ´
ÉúÎï¼¼ÊõÓ빤³Ì
ÒѾÓÐ3È˻ظ´
299Çóµ÷¼Á
ÒѾÓÐ9È˻ظ´
²ÄÁÏѧ˶£¬Çóµ÷¼Á
ÒѾÓÐ8È˻ظ´
284Çóµ÷¼Á
ÒѾÓÐ14È˻ظ´
292Çóµ÷¼Á
ÒѾÓÐ4È˻ظ´
287Çóµ÷¼Á
ÒѾÓÐ11È˻ظ´
086003ʳƷ¹¤³ÌÇóµ÷¼Á
ÒѾÓÐ6È˻ظ´
295Çóµ÷¼Á
ÒѾÓÐ8È˻ظ´
¿¼Ñл¯Ñ§308·ÖÇóµ÷¼Á
ÒѾÓÐ11È˻ظ´
» ±¾Ö÷ÌâÏà¹Ø¼ÛÖµÌùÍÆ¼ö£¬¶ÔÄúͬÑùÓаïÖú:
VASP½á¹¹ÓÅ»¯£¬·Ö²½ÓÅ»¯ºÍÒ»´ÎÐÍÓÅ»¯µÄÇø±ð£¿
ÒѾÓÐ5È˻ظ´
VASP¼ÆËãÀë×Ó²½ÊýÉèÖÃÌ«µÍ£¬Î´ÄÜÊÕÁ²£¬Ïë¼ÌÐøËãÓöµ½µÄÎÊÌ⣡
ÒѾÓÐ8È˻ظ´
vaspÖУ¬INCARÉèÖÃÇóÖú
ÒѾÓÐ7È˻ظ´
vaspÓÅ»¯¹¹ÐͳöÏÖÁ˼üµÄ¶ÏÁÑ
ÒѾÓÐ11È˻ظ´
¹ØÓÚVASP¼ÆËãÊÕÁ²µÄÅжÏ
ÒѾÓÐ25È˻ظ´
VASP NEB ²»ÊÕÁ²ÎÊÌâ
ÒѾÓÐ25È˻ظ´
VASP¼ÆËã±íÃæÎü¸½ µ«ÊÇÄÜÁ¿×ÜÊDz»ÊÕÁ²/¡£¡£¡£
ÒѾÓÐ9È˻ظ´
ÓÃVASP¼ÆËãNEB¶¼Ê®¼¸ÌìÁË»¹²»ÊÕÁ²£¬¼±°¡£¡£¡£¡
ÒѾÓÐ8È˻ظ´
ÓÃVASPÓÅ»¯½á¹¹ÊÕÁ²²»ÁË£¬ÇóÖ¸½Ì
ÒѾÓÐ10È˻ظ´
vasp½á¹¹ÓÅ»¯ÖÐEDIFFÒÔ¼°KPOINTSÉèÖã¬ÒÔ¼°ÇâÎü¸½½áºÏÄÜÎÊÌ⣡
ÒѾÓÐ17È˻ظ´
ÓÃDmolÓÅ»¯ÊÕÁ²µÄ½á¹¹£¬ÓÃvasp²»ÊÕÁ²£¿
ÒѾÓÐ9È˻ظ´
vaspÓÅ»¯ÊÕÁ²±ê×¼
ÒѾÓÐ3È˻ظ´
VASP½á¹¹ÓÅ»¯Ê±³öÏÖµÄPOTIMÎÊÌâ
ÒѾÓÐ4È˻ظ´
¹ØÓÚvaspÊÕÁ²ºÍÓÅ»¯
ÒѾÓÐ24È˻ظ´
VASP³ÚÔ¥ÊÕÁ²Ì«Âý
ÒѾÓÐ18È˻ظ´
vaspÓÅ»¯Á¦ÊÕÁ²Ìõ¼þ
ÒѾÓÐ6È˻ظ´
ÇóÖú£ºvasp½á¹¹ÓÅ»¯²»ÄÜÊÕÁ²
ÒѾÓÐ18È˻ظ´
vaspÀë×Ó³ÚÔ¥²»ÊÕÁ²£¬Çó·½·¨
ÒѾÓÐ31È˻ظ´
vasp¼ÆË㣺ÓÅ»¯ÄÜÊÕÁ²£¬µ«Í¬ÑùµÄÉèÖþ²Ì¬¼ÆËã²»ÊÕÁ²
ÒѾÓÐ3È˻ظ´
¡¾ÇóÖú¡¿VASPÊÕÁ²ÎÊÌâ
ÒѾÓÐ15È˻ظ´
¡¾ÇóÖú¡¿½á¹¹ÓÅ»¯²»ÊÕÁ²
ÒѾÓÐ9È˻ظ´
awdawdawdd
½ð³æ (СÓÐÃûÆø)
- Ó¦Öú: 24 (СѧÉú)
- ½ð±Ò: 679
- É¢½ð: 200
- ºì»¨: 6
- Ìû×Ó: 111
- ÔÚÏß: 67Сʱ
- ³æºÅ: 2237233
- ×¢²á: 2013-01-12
- רҵ: Äý¾Û̬ÎïÐÔ II £ºµç×ӽṹ
¡¾´ð°¸¡¿Ó¦Öú»ØÌû
¸Ðл²ÎÓ룬ӦÖúÖ¸Êý +1
|
ÒòΪVASPĬÈÏÊDz»½øÐгÚÔ¥£¨Àë×Ó²½ÊýNSWĬÈÏΪ0£© ¼ÓÉÏ EDIFFG=-0.01 NSW=200 È»ºóÔÙÓÅ»¯ |
13Â¥2015-05-13 22:08:31
LiСß÷
гæ (³õÈëÎÄ̳)
- Ó¦Öú: 0 (Ó×¶ùÔ°)
- ½ð±Ò: 91
- Ìû×Ó: 39
- ÔÚÏß: 29.3Сʱ
- ³æºÅ: 3480917
- ×¢²á: 2014-10-17
- ÐÔ±ð: MM
- רҵ: Äý¾Û̬ÎïÐÔ II £ºµç×ӽṹ
2Â¥2015-05-13 11:56:40
LiСß÷
гæ (³õÈëÎÄ̳)
- Ó¦Öú: 0 (Ó×¶ùÔ°)
- ½ð±Ò: 91
- Ìû×Ó: 39
- ÔÚÏß: 29.3Сʱ
- ³æºÅ: 3480917
- ×¢²á: 2014-10-17
- ÐÔ±ð: MM
- רҵ: Äý¾Û̬ÎïÐÔ II £ºµç×ӽṹ
3Â¥2015-05-13 11:58:19
490105179
ľ³æ (ÕýʽдÊÖ)
- Ó¦Öú: 30 (СѧÉú)
- ½ð±Ò: 2931
- É¢½ð: 3104
- ºì»¨: 31
- Ìû×Ó: 810
- ÔÚÏß: 331.1Сʱ
- ³æºÅ: 1773039
- ×¢²á: 2012-04-23
- ÐÔ±ð: GG
- רҵ: ²ÄÁÏÎïÀí»¯Ñ§
4Â¥2015-05-13 16:15:43
490105179
ľ³æ (ÕýʽдÊÖ)
- Ó¦Öú: 30 (СѧÉú)
- ½ð±Ò: 2931
- É¢½ð: 3104
- ºì»¨: 31
- Ìû×Ó: 810
- ÔÚÏß: 331.1Сʱ
- ³æºÅ: 1773039
- ×¢²á: 2012-04-23
- ÐÔ±ð: GG
- רҵ: ²ÄÁÏÎïÀí»¯Ñ§
5Â¥2015-05-13 16:17:31
С³æ³æLG
ľ³æ (ÕýʽдÊÖ)
- Ó¦Öú: 114 (¸ßÖÐÉú)
- ½ð±Ò: 1775.9
- É¢½ð: 1871
- ºì»¨: 25
- Ìû×Ó: 975
- ÔÚÏß: 678.5Сʱ
- ³æºÅ: 2128430
- ×¢²á: 2012-11-15
- ÐÔ±ð: GG
- רҵ: Äý¾Û̬ÎïÐÔ II £ºµç×ӽṹ
6Â¥2015-05-13 16:50:24
magicmonk
ÖÁ×ðľ³æ (ÖøÃûдÊÖ)
- Ó¦Öú: 172 (¸ßÖÐÉú)
- ½ð±Ò: 11451.3
- ºì»¨: 24
- Ìû×Ó: 1124
- ÔÚÏß: 3108.8Сʱ
- ³æºÅ: 1191315
- ×¢²á: 2011-01-17
- רҵ: ÀíÂۺͼÆË㻯ѧ

7Â¥2015-05-13 17:56:23
LiСß÷
гæ (³õÈëÎÄ̳)
- Ó¦Öú: 0 (Ó×¶ùÔ°)
- ½ð±Ò: 91
- Ìû×Ó: 39
- ÔÚÏß: 29.3Сʱ
- ³æºÅ: 3480917
- ×¢²á: 2014-10-17
- ÐÔ±ð: MM
- רҵ: Äý¾Û̬ÎïÐÔ II £ºµç×ӽṹ
8Â¥2015-05-13 18:27:00
LiСß÷
гæ (³õÈëÎÄ̳)
- Ó¦Öú: 0 (Ó×¶ùÔ°)
- ½ð±Ò: 91
- Ìû×Ó: 39
- ÔÚÏß: 29.3Сʱ
- ³æºÅ: 3480917
- ×¢²á: 2014-10-17
- ÐÔ±ð: MM
- רҵ: Äý¾Û̬ÎïÐÔ II £ºµç×ӽṹ
9Â¥2015-05-13 18:28:13
LiСß÷
гæ (³õÈëÎÄ̳)
- Ó¦Öú: 0 (Ó×¶ùÔ°)
- ½ð±Ò: 91
- Ìû×Ó: 39
- ÔÚÏß: 29.3Сʱ
- ³æºÅ: 3480917
- ×¢²á: 2014-10-17
- ÐÔ±ð: MM
- רҵ: Äý¾Û̬ÎïÐÔ II £ºµç×ӽṹ
10Â¥2015-05-13 18:30:27














»Ø¸´´ËÂ¥


