| 查看: 349 | 回复: 0 | |
Kaysemi木虫 (初入文坛)
|
[求助]
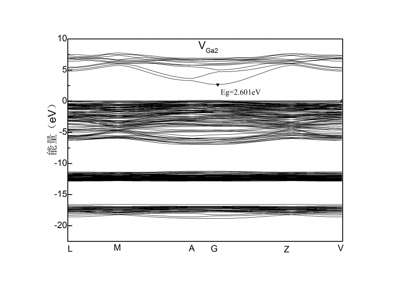
能带结构分析问题
|
|
|
|
|
找到一些相关的精华帖子,希望有用哦~
科研从小木虫开始,人人为我,我为人人
|













回复此楼

点击这里搜索更多相关资源