| 查看: 582 | 回复: 2 | |||
[求助]
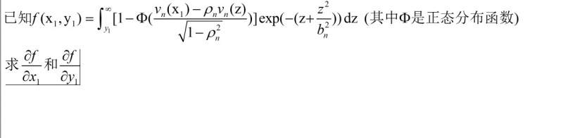
关于偏导,真诚求助数学大神
|
|||
![]() |
|||
|
|
|||
feixiaolin荣誉版主 (文坛精英)
|
|||
|
2楼2015-05-09 22:26:44
|
|
||
![]() |
|||
|
3楼2015-05-10 08:49:28
|
|













回复此楼
