| ²é¿´: 2259 | »Ø¸´: 16 | ||
²èºøbxyÒø³æ (ÕýʽдÊÖ)
|
[ÇóÖú]
100½ð±ÒÇóÖúÀÆÕÀ˹·½³ÌÇò×ø±êϵÄÐÎÊ½ÍÆµ¼ÎÊÌâ ÒÑÓÐ2È˲ÎÓë
|
|
|
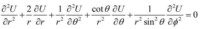
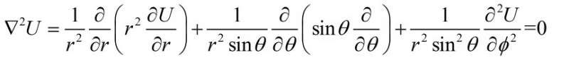
´ó¼ÒºÃ£¡ÎÒÓÐÕâôһ¸öÎÊÌâÏëÒªÇë´ó¼Ò°ï°ï棺 ÀÆÕÀ˹·½³ÌÔÚÇò×ø±êϵÄÐÎʽÈçÏ£º ÎÒÖ±½Ó¸ù¾ÝÇóµ¼·¨Ôòд³ÉÈçÏÂÐÎʽ¶Ô²»¶Ô£¿ Èç¹û²»¶ÔµÄ»°ÕýÈ·µÄÐÎʽÊÇʲô£¿ Ìáǰлл´ó¼Ò£¡ |
» ²ÂÄãϲ»¶
¡¾¿¼Ñе÷¼Á¡¿»¯Ñ§×¨Òµ 281·Ö£¬Ò»Ö¾Ô¸ËÄ´¨´óѧ£¬³ÏÐÄÇóµ÷¼Á
ÒѾÓÐ8È˻ظ´
Ò»Ö¾Ô¸»ªÄÏʦ´ó 070300£¨»¯Ñ§£©304·ÖÇóµ÷¼Á
ÒѾÓÐ3È˻ظ´
Ò»Ö¾Ô¸ Î÷±±´óѧ £¬070300»¯Ñ§Ñ§Ë¶£¬×Ü·Ö287£¬Ë«·ÇÒ»±¾£¬Çóµ÷¼Á¡£
ÒѾÓÐ3È˻ظ´
Ò»Ö¾Ô¸ÖØÇì´óѧ085700×ÊÔ´Óë»·¾³×¨Ë¶£¬×Ü·Ö308Çóµ÷¼Á
ÒѾÓÐ3È˻ظ´
354Çóµ÷¼Á
ÒѾÓÐ8È˻ظ´
304Çóµ÷¼Á
ÒѾÓÐ6È˻ظ´
Ò»Ö¾Ô¸Î÷ÄϽ»´ó£¬Çóµ÷¼Á
ÒѾÓÐ5È˻ظ´
299Çóµ÷¼Á
ÒѾÓÐ5È˻ظ´
²ÄÁÏרҵÇóµ÷¼Á
ÒѾÓÐ6È˻ظ´
311Çóµ÷¼Á
ÒѾÓÐ5È˻ظ´
» ±¾Ö÷ÌâÏà¹Ø¼ÛÖµÌùÍÆ¼ö£¬¶ÔÄúͬÑùÓаïÖú:
°ï棺Çó½âÒ»×é΢·Ö´úÊý·½³Ì£¬½±Àø100½ð±Ò
ÒѾÓÐ7È˻ظ´
ÇëÎÊÕâ¸öƫ΢·Ö·½³Ì×éÓÐÒ»°ãµÄ½â·¨Ã´£¿
ÒѾÓÐ12È˻ظ´
´ÅʸλAµÄÖù×ø±êϵÄÀÆÕÀ˹Ëã·ûµÄÍÆµ¼
ÒѾÓÐ26È˻ظ´

mathstudy
½ð³æ (ÕýʽдÊÖ)
- ÊýѧEPI: 2
- Ó¦Öú: 161 (¸ßÖÐÉú)
- ½ð±Ò: 4320.1
- É¢½ð: 38
- ºì»¨: 16
- Ìû×Ó: 446
- ÔÚÏß: 141.1Сʱ
- ³æºÅ: 2515489
- ×¢²á: 2013-06-20
- ÐÔ±ð: GG
- רҵ: ¼ÆËãÊýѧÓë¿ÆÑ§¹¤³Ì¼ÆËã
4Â¥2015-05-09 15:32:17
lsp1005
ľ³æ (ÕýʽдÊÖ)
- Ó¦Öú: 76 (³õÖÐÉú)
- ½ð±Ò: 1697.4
- ºì»¨: 2
- Ìû×Ó: 911
- ÔÚÏß: 69Сʱ
- ³æºÅ: 3548729
- ×¢²á: 2014-11-20
- ÐÔ±ð: GG
- רҵ: ¹ÌÌåÁ¦Ñ§
¡¾´ð°¸¡¿Ó¦Öú»ØÌû
¡ï ¡ï ¡ï ¡ï ¡ï ¡ï ¡ï ¡ï ¡ï ¡ï ¡ï ¡ï ¡ï ¡ï ¡ï ¡ï ¡ï ¡ï ¡ï ¡ï ¡ï ¡ï ¡ï ¡ï ¡ï ¡ï ¡ï ¡ï ¡ï ¡ï ¡ï ¡ï ¡ï ¡ï ¡ï ¡ï ¡ï ¡ï ¡ï ¡ï ¡ï ¡ï ¡ï ¡ï ¡ï ¡ï ¡ï ¡ï ¡ï ¡ï ¡ï ¡ï ...
¸Ðл²ÎÓ룬ӦÖúÖ¸Êý +1
²èºøbxy: ½ð±Ò+100, ¡ï¡ï¡ï¡ï¡ï×î¼Ñ´ð°¸, Ê®·Ö¸Ðл£¡ 2015-05-09 17:10:11
¸Ðл²ÎÓ룬ӦÖúÖ¸Êý +1
²èºøbxy: ½ð±Ò+100, ¡ï¡ï¡ï¡ï¡ï×î¼Ñ´ð°¸, Ê®·Ö¸Ðл£¡ 2015-05-09 17:10:11
|
Â¥Ö÷µÄÍÆµ¼ÊǶԵ쬣¬¾ßÌå²½ÖèÈç½ØÍ¼¡£ f31fbe096b63f624d95499f18744ebf81a4ca333.jpg ²¶»ñ.JPG ²¶»ñ1.JPG ²¶»ñ2.JPG ²¶»ñ3.JPG ²¶»ñ4.JPG |

5Â¥2015-05-09 16:25:32
peterflyer
ľ³æÖ®Íõ (ÎÄѧ̩¶·)
peterflyer
- ÊýѧEPI: 10
- Ó¦Öú: 20282 (Ժʿ)
- ½ð±Ò: 146160
- ºì»¨: 1374
- Ìû×Ó: 93091
- ÔÚÏß: 7694.3Сʱ
- ³æºÅ: 1482829
- ×¢²á: 2011-11-08
- ÐÔ±ð: GG
- רҵ: ¹¦ÄÜÌÕ´É
15Â¥2015-09-08 14:50:13
hank612
ÖÁ×ðľ³æ (ÖøÃûдÊÖ)
- ÊýѧEPI: 14
- Ó¦Öú: 225 (´óѧÉú)
- ½ð±Ò: 14270.6
- É¢½ð: 1055
- ºì»¨: 95
- Ìû×Ó: 1526
- ÔÚÏß: 1375.8Сʱ
- ³æºÅ: 2530333
- ×¢²á: 2013-07-03
- ÐÔ±ð: GG
- רҵ: ÀíÂۺͼÆË㻯ѧ

2Â¥2015-05-09 10:45:59
²èºøbxy
Òø³æ (ÕýʽдÊÖ)
- Ó¦Öú: 0 (Ó×¶ùÔ°)
- ½ð±Ò: 5791.6
- É¢½ð: 13
- ºì»¨: 2
- Ìû×Ó: 327
- ÔÚÏß: 207Сʱ
- ³æºÅ: 1985317
- ×¢²á: 2012-09-08
- ÐÔ±ð: GG
- רҵ: µçÁ¦µç×Óѧ

3Â¥2015-05-09 11:01:27
lsp1005
ľ³æ (ÕýʽдÊÖ)
- Ó¦Öú: 76 (³õÖÐÉú)
- ½ð±Ò: 1697.4
- ºì»¨: 2
- Ìû×Ó: 911
- ÔÚÏß: 69Сʱ
- ³æºÅ: 3548729
- ×¢²á: 2014-11-20
- ÐÔ±ð: GG
- רҵ: ¹ÌÌåÁ¦Ñ§

6Â¥2015-05-09 16:26:48
²èºøbxy
Òø³æ (ÕýʽдÊÖ)
- Ó¦Öú: 0 (Ó×¶ùÔ°)
- ½ð±Ò: 5791.6
- É¢½ð: 13
- ºì»¨: 2
- Ìû×Ó: 327
- ÔÚÏß: 207Сʱ
- ³æºÅ: 1985317
- ×¢²á: 2012-09-08
- ÐÔ±ð: GG
- רҵ: µçÁ¦µç×Óѧ

7Â¥2015-05-09 20:52:54
lsp1005
ľ³æ (ÕýʽдÊÖ)
- Ó¦Öú: 76 (³õÖÐÉú)
- ½ð±Ò: 1697.4
- ºì»¨: 2
- Ìû×Ó: 911
- ÔÚÏß: 69Сʱ
- ³æºÅ: 3548729
- ×¢²á: 2014-11-20
- ÐÔ±ð: GG
- רҵ: ¹ÌÌåÁ¦Ñ§

8Â¥2015-05-09 20:55:38
²èºøbxy
Òø³æ (ÕýʽдÊÖ)
- Ó¦Öú: 0 (Ó×¶ùÔ°)
- ½ð±Ò: 5791.6
- É¢½ð: 13
- ºì»¨: 2
- Ìû×Ó: 327
- ÔÚÏß: 207Сʱ
- ³æºÅ: 1985317
- ×¢²á: 2012-09-08
- ÐÔ±ð: GG
- רҵ: µçÁ¦µç×Óѧ

9Â¥2015-05-10 09:35:17
°¨Ñ©ÊçÙ»
½ð³æ (ÕýʽдÊÖ)
- Ó¦Öú: 2 (Ó×¶ùÔ°)
- ½ð±Ò: 1610.1
- Ìû×Ó: 477
- ÔÚÏß: 100.4Сʱ
- ³æºÅ: 2184808
- ×¢²á: 2012-12-13
- ÐÔ±ð: MM
- רҵ: ¼ÆËã»úÓ¦Óü¼Êõ

10Â¥2015-09-08 10:57:35













»Ø¸´´ËÂ¥