| 查看: 2154 | 回复: 6 | |||
dubtt银虫 (小有名气)
|
[求助]
根据反应机理怎么表示速率方程? 已有1人参与
|
|
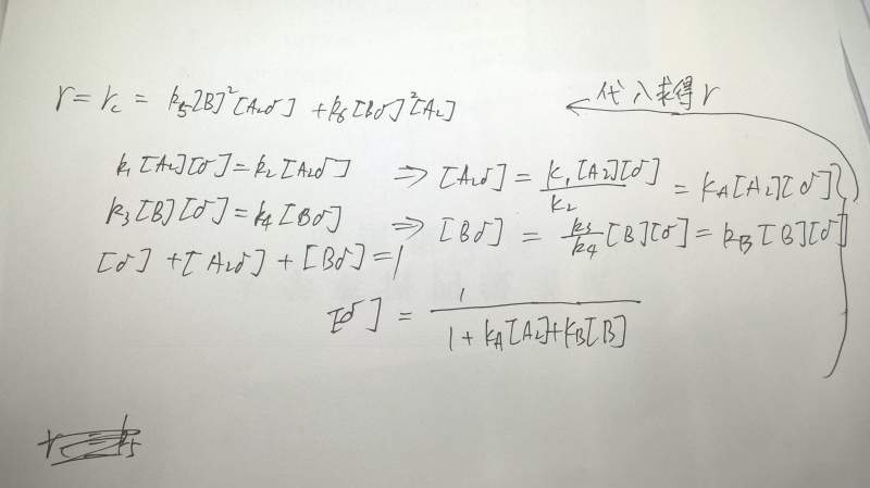
假设反应机理中的原料的吸附过程是可逆的,产物的生产步骤是不可逆的,而且有两步产物的生成步骤,该怎么算总反应的速率方程表达式呢? 例如图片中的反应机理,如果假设表面反应控制,第(3)步是速率控制步骤,可以认为(1)(2)步达到平衡,然后可以算出各自的覆盖率,但是第(4)步不是可逆的,该怎么表示呢? 求助各位大神该怎么表达像图片中机理的反应速率方程,谢谢啦! 111.png |
» 猜你喜欢
304求调剂
已经有2人回复
双一流湘潭大学化工学院招收化工、能源动力、工程热物理相关研究生调剂
已经有16人回复
化学工程及工业化学论文润色/翻译怎么收费?
已经有294人回复
一志愿985中药学306,求调剂
已经有0人回复
河南一本高校化学,材料,化工专业招收研究生
已经有0人回复
大连海事大学船舶洁净能源研究中心2026年博士研究生招生启事
已经有10人回复
双一流大学湘潭大学“化工过程模拟与强化”国家地方联合工程研究中心招收各类博士生
已经有13人回复
2026年湘潭大学接收化学工程与技术相关方向学术型硕士研究生调剂生
已经有1人回复
双一流大学湘潭大学“化工过程模拟与强化”国家地方联合工程研究中心招收博士生
已经有12人回复
一志愿天津大学 材料与化工358 求调剂
已经有1人回复
2026湖北师范大学化学化工学院招收硕士研究生调剂
已经有0人回复
» 本主题相关价值贴推荐,对您同样有帮助:
只有热力学数据怎么判断反应速率的快慢
已经有5人回复
问个关于固-液 非均相催化体系的反应速率问题
已经有7人回复
求助循环反应反应速率-线性微分方程组求解
已经有16人回复
如何计算反应活化能
已经有7人回复
有机反应的反应动力学数据如何查找
已经有5人回复
用UDF定义了volumetric reaction rate 还怎么在fluent里设置阿累尼乌斯定律参数
已经有11人回复
今年基础不发小册子了,怎么考啊
已经有23人回复
根据活化能怎么判断一级反应还是零级反应
已经有12人回复
动力学解答题-平衡假设法
已经有7人回复
求gaussian计算反应速率常数,指前因子方法。
已经有25人回复
焓变 活化能 键离解能 能垒 反应速率 的巩固 求教
已经有14人回复
第一性原理如何描述化学反应动力学?
已经有21人回复
【求助】拟合动力学方程求助
已经有13人回复
【求助】速率常数单位
已经有7人回复
【求助】催化反应动力学matlab计算各基元反应的速率常数时,该如何避免较小量被忽略?
已经有3人回复
【求助】单位时间单位质量(体积)的催化剂如何与反应速率方程相关联?或有没有表达式
已经有3人回复
【求助】反应速率常数怎么算
已经有5人回复
zyhou
专家顾问 (文坛精英)
-

专家经验: +3748 - C-EPI: 74
- 应助: 4970 (副教授)
- 贵宾: 2.947
- 金币: 39366.7
- 散金: 14624
- 红花: 415
- 帖子: 10637
- 在线: 2546.4小时
- 虫号: 373328
- 注册: 2007-05-16
- 性别: GG
- 专业: 催化化学
- 管辖: 催化
2楼2015-05-08 07:43:27
dubtt
银虫 (小有名气)
- 应助: 0 (幼儿园)
- 金币: 173.4
- 散金: 4
- 帖子: 131
- 在线: 26小时
- 虫号: 1207975
- 注册: 2011-02-21
- 性别: MM
- 专业: 化学反应工程
3楼2015-05-08 08:21:23
a164259536
铁虫 (小有名气)
- 应助: 0 (幼儿园)
- 金币: 42.5
- 红花: 2
- 帖子: 56
- 在线: 28.4小时
- 虫号: 3406817
- 注册: 2014-09-10
- 性别: GG
- 专业: 催化化学

4楼2015-05-08 10:01:33
dubtt
银虫 (小有名气)
- 应助: 0 (幼儿园)
- 金币: 173.4
- 散金: 4
- 帖子: 131
- 在线: 26小时
- 虫号: 1207975
- 注册: 2011-02-21
- 性别: MM
- 专业: 化学反应工程
5楼2015-05-08 10:04:07
dubtt
银虫 (小有名气)
- 应助: 0 (幼儿园)
- 金币: 173.4
- 散金: 4
- 帖子: 131
- 在线: 26小时
- 虫号: 1207975
- 注册: 2011-02-21
- 性别: MM
- 专业: 化学反应工程
6楼2015-05-08 11:02:10
dubtt
银虫 (小有名气)
- 应助: 0 (幼儿园)
- 金币: 173.4
- 散金: 4
- 帖子: 131
- 在线: 26小时
- 虫号: 1207975
- 注册: 2011-02-21
- 性别: MM
- 专业: 化学反应工程
7楼2015-05-08 11:05:34













回复此楼