±±¾©Ê¯ÓÍ»¯¹¤Ñ§Ôº2026ÄêÑо¿ÉúÕÐÉú½ÓÊÕµ÷¼Á¹«¸æ
²é¿´: 846  |  »Ø¸´: 3

LÖÜO¶ºV¶ºE

гæ (³õÈëÎÄ̳)

[ÇóÖú] ÇóÖú£¬ÔõôÔÚmatlabÖÐͬʱ»­³ö¼¸ÌõÇúÏߣ¿ ÒÑÓÐ2È˲ÎÓë

Çó½Ì¸÷λ´óÉñ£¬ÔõôÔÚmatlabÖÐͬʱ»­³öÒÔϼ¸ÌõÇúÏßÄØ£¿
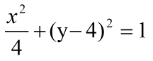
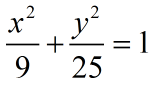
ÇúÏß·½³Ì¼ûͼ£¬²¢ÇÒxÉ趨Ϊ-6:0.5:6,y>0
лл¸÷λ

ÇóÖú£¬ÔõôÔÚmatlabÖÐͬʱ»­³ö¼¸ÌõÇúÏߣ¿
4.png


ÇóÖú£¬ÔõôÔÚmatlabÖÐͬʱ»­³ö¼¸ÌõÇúÏߣ¿-1
5.png
»Ø¸´´ËÂ¥

» ²ÂÄãϲ»¶

» ±¾Ö÷ÌâÏà¹Ø¼ÛÖµÌùÍÆ¼ö£¬¶ÔÄúͬÑùÓаïÖú:

ÒÑÔÄ   »Ø¸´´ËÂ¥   ¹Ø×¢TA ¸øTA·¢ÏûÏ¢ ËÍTAºì»¨ TAµÄ»ØÌû

СÐÜèÉϲè¹Ý

½ð³æ (ÕýʽдÊÖ)

¡¾´ð°¸¡¿Ó¦Öú»ØÌû

¸Ðл²ÎÓ룬ӦÖúÖ¸Êý +1
plot µÚÒ»ÌõÇúÏß   
hold on
plot µÚ¶þÌõÇúÏß
´óµ¨¼ÙÉ裬СÐÄÇóÖ¤¡£
2Â¥2015-04-28 09:18:01
ÒÑÔÄ   »Ø¸´´ËÂ¥   ¹Ø×¢TA ¸øTA·¢ÏûÏ¢ ËÍTAºì»¨ TAµÄ»ØÌû

ÁõÏþÑó1

гæ (³õÈëÎÄ̳)

hold on ¿ÉÒÔ
axis¿ÉÒÔÏÞ¶¨×ø±ê·¶Î§
3Â¥2015-04-28 16:54:21
ÒÑÔÄ   »Ø¸´´ËÂ¥   ¹Ø×¢TA ¸øTA·¢ÏûÏ¢ ËÍTAºì»¨ TAµÄ»ØÌû

zuxingshui

ľ³æ (СÓÐÃûÆø)

¡¾´ð°¸¡¿Ó¦Öú»ØÌû

¸Ðл²ÎÓ룬ӦÖúÖ¸Êý +1
x=-6:0.5:6;
y1=4¡Àsqrt(1-x.^2);
y2=¡À5*sqrt(1-x.^2/9);
plot(x,y1);
hold on;
plot(x,y2);
axis([-6 6 0 Inf])
ÆäÖÐÕý¸ººÅÔÚmatlabÖв»Ò»¶¨Õâô±íʾ¡£¡£Äã¿ÉÒÔÓÃabsÌæ»»µô¡ÀºÅ¡£¡£¡£µ÷ÊÔһϣ¬Ó¦¸ÃÊÇ¿ÉÒÔµÄ
4Â¥2015-04-30 10:00:38
ÒÑÔÄ   »Ø¸´´ËÂ¥   ¹Ø×¢TA ¸øTA·¢ÏûÏ¢ ËÍTAºì»¨ TAµÄ»ØÌû
Ïà¹Ø°æ¿éÌø×ª ÎÒÒª¶©ÔÄÂ¥Ö÷ LÖÜO¶ºV¶ºE µÄÖ÷Ìâ¸üÐÂ
×î¾ßÈËÆøÈÈÌûÍÆ¼ö [²é¿´È«²¿] ×÷Õß »Ø/¿´ ×îºó·¢±í
[¿¼ÑÐ] 0703»¯Ñ§µ÷¼Á325·Ö +10 15771691647 2026-04-04 11/550 2026-04-06 10:16 by À¶ÔÆË¼Óê
[¿¼ÑÐ] 085500»úеר˶³õÊÔ288Çóµ÷¼Á +3 GZJguo666- 2026-04-05 3/150 2026-04-05 18:06 by jkddd
[¿¼ÑÐ] 085600µ÷¼Á +9 ¶«ÕÕÕÕÕÕ 2026-04-04 9/450 2026-04-05 13:44 by ujn_zhuj
[¿¼ÑÐ] 353Çóµ÷¼Á +10 MayUxw1 2026-04-03 10/500 2026-04-05 09:23 by Î޼ʵIJÝÔ­
[¿¼ÑÐ] 323Çóµ÷¼Á +8 Àî¼ÑÀÖ1 2026-04-04 8/400 2026-04-04 22:26 by hemengdong
[¿¼ÑÐ] 413Çóµ÷¼Á +4 ¿Âijij 2026-03-31 4/200 2026-04-04 22:18 by ѧԱ6BFVa3
[¿¼ÑÐ] »·¾³285·Ö£¬¹ýÁù¼¶£¬Çóµ÷¼Á +10 xhr12 2026-04-02 10/500 2026-04-04 21:53 by bn53987
[¿¼ÑÐ] ÇóÉúÎïѧרҵµ÷¼Á-332·Ö +5 ÔÆ¶äåÞÍäÖ¸ÄÏ 2026-04-04 5/250 2026-04-04 10:05 by rzh123456
[¿¼ÑÐ] 311Çóµ÷¼Á +20 zchqwer 2026-04-01 22/1100 2026-04-03 22:09 by lglzsd
[¿¼ÑÐ] 0856£¬269·ÖÇóµ÷¼Á +15 ÓÐѧÉϾÍÐÐÇóÇóÁ 2026-03-30 18/900 2026-04-03 16:50 by melodiousnow
[¿¼ÑÐ] Ó¢Ò»ÊýÒ»408£¬×Ü·Ö284£¬¶þÕ½Õæ³ÏÇóµ÷¼Á +13 12.27 2026-03-30 15/750 2026-04-03 14:41 by µªÆøÆøÆø
[¿¼ÑÐ] 282Çóµ÷¼Á ²»Ìôרҵ ÇóÊÕÁô +7 Yam. 2026-03-30 8/400 2026-04-03 14:12 by zhangdingwa
[˶²©¼ÒÔ°] ÇóÀÏʦÊÕÁô +9 lllq123 2026-04-03 9/450 2026-04-03 13:48 by ºôÎü¶¼ÊǼõ·Ê
[»ù½ðÉêÇë] ÇëÎʹ²Í¬Í¨Ñ¶ºÍ¹²Í¬Ò»×÷µÄÈϿɶÈÎÊÌâ 10+4 psa1234 2026-04-01 10/500 2026-04-03 11:08 by Kittylucky
[¿¼ÑÐ] 372·Ö²ÄÁÏÓ뻯¹¤£¨085600£©Ò»Ö¾Ô¸ºþÄÏ´óѧÇóµ÷¼Á +5 À¶¼ãƬ 2026-04-02 6/300 2026-04-02 21:37 by dongzh2009
[¿¼ÑÐ] ũѧ¿¼ÑÐÇóµ÷¼Á +3 dkdkxm 2026-04-01 3/150 2026-04-02 16:04 by wangjagri
[¿¼ÑÐ] ²ÄÁÏרҵµ÷¼Á +5 À²À²À²¿Þ 2026-03-31 6/300 2026-04-01 16:48 by JourneyLucky
[¿¼ÑÐ] 0855»úе³õÊÔ280Çóµ÷¼Á +3 kazenotori 2026-03-31 3/150 2026-04-01 10:08 by JourneyLucky
[¿¼ÑÐ] ¿¼Ñе÷¼ÁÇóÖú +7 13287130938 2026-03-31 7/350 2026-03-31 16:39 by 690616278
[¿¼ÑÐ] 370Çóµ÷¼Á +3 080700µ÷¼Á 2026-03-30 3/150 2026-03-31 01:09 by A_Zhe
ÐÅÏ¢Ìáʾ
ÇëÌî´¦ÀíÒâ¼û