| 查看: 1292 | 回复: 7 | ||
[求助]
审稿意见中关于晶格常数的问题已有2人参与
|
|
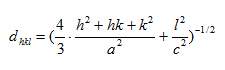
本人最近收到materials letters的审稿意见,其中有几个问题不知道怎么回答,请大神指点啊 Results and Discussion page 3, line 46: The lattice constants a and c for all samples were... This belongs in to the methods section. Did you do any refinements in order to calculate lattice parameters? What is the error bar? Include errors in Table 1! page 4, line 2: both a and c reach a maximum.... Why is that so? Please comment! The parameters should follow Vegard's law. 本人的晶格常数是使用公式计算的 http://image.keyan.cc/data/bcs/2 ... _1429176255_476.jpg QQ截图20150416171459.jpg |
» 猜你喜欢
请问有评职称,把科研教学业绩算分排序的高校吗
已经有4人回复
孩子确诊有中度注意力缺陷
已经有12人回复
2025冷门绝学什么时候出结果
已经有3人回复
天津工业大学郑柳春团队欢迎化学化工、高分子化学或有机合成方向的博士生和硕士生加入
已经有4人回复
康复大学泰山学者周祺惠团队招收博士研究生
已经有6人回复
AI论文写作工具:是科研加速器还是学术作弊器?
已经有3人回复
2026博士申请-功能高分子,水凝胶方向
已经有6人回复
论文投稿,期刊推荐
已经有4人回复
硕士和导师闹得不愉快
已经有13人回复
请问2026国家基金面上项目会启动申2停1吗
已经有5人回复
» 本主题相关价值贴推荐,对您同样有帮助:
HSE计算的一些问题,希望大家帮我解决谢谢
已经有13人回复
编辑要求精修XRD,但是我的体系衍射峰十分复杂,精修一个月无望
已经有3人回复
再来一个不好回答的问题:晶格常数与粒径的关系是怎么样的?
已经有5人回复
新手计算晶格常数上的问题
已经有5人回复
VASP做结构优化时用ISIF=3只想对晶格常数中的一个维度放开经行优化
已经有7人回复
求助:关于XRD计算晶格常数的精度问题。
已经有6人回复
contcar中晶格常数怎么读?
已经有8人回复
关于晶格常数(lattice constant)的疑问
已经有7人回复
求助一个有关XRD数据的问题
已经有3人回复
文章意见修改问题之一:LDA, GGA和PBEsol三者的优缺点
已经有7人回复
关于Flack参数
已经有3人回复
审稿意见,除了单晶结构,还需要测什么?
已经有12人回复
交流:晶体结构精修完了,生成完整的晶体结构报表指南
已经有18人回复
有关晶体常数的审稿意见。
已经有5人回复
关于晶格常数国际单位的问题
已经有3人回复
关于XRD求晶格常数
已经有9人回复
专家审稿意见,请大家帮忙分析!
已经有5人回复
【求助】gulp中改变温度,晶格常数没变?
已经有27人回复
【请教】关于晶体的晶格常数
已经有4人回复
【交流】flack 参数=0
已经有7人回复
2楼2015-04-17 09:58:38
穿越千年
版主 (著名写手)
寂寞读书的小和尚
- FPI: 2
- 应助: 238 (大学生)
- 贵宾: 0.515
- 金币: 9996.1
- 散金: 8750
- 红花: 119
- 沙发: 10
- 帖子: 2398
- 在线: 1369.1小时
- 虫号: 1393528
- 注册: 2011-09-07
- 性别: GG
- 专业: 半导体材料
- 管辖: 功能材料

3楼2015-04-17 10:18:37
穿越千年
版主 (著名写手)
寂寞读书的小和尚
- FPI: 2
- 应助: 238 (大学生)
- 贵宾: 0.515
- 金币: 9996.1
- 散金: 8750
- 红花: 119
- 沙发: 10
- 帖子: 2398
- 在线: 1369.1小时
- 虫号: 1393528
- 注册: 2011-09-07
- 性别: GG
- 专业: 半导体材料
- 管辖: 功能材料

4楼2015-04-17 10:19:15
5楼2015-04-17 17:24:17
1025493989
新虫 (正式写手)
- 应助: 2 (幼儿园)
- 金币: 1121.3
- 散金: 290
- 红花: 5
- 帖子: 334
- 在线: 395.3小时
- 虫号: 1959096
- 注册: 2012-08-27
- 专业: 无机非金属类光电信息与功
6楼2016-01-15 22:41:01
牛奶小生
木虫 (正式写手)
啥跟啥
- 应助: 6 (幼儿园)
- 金币: 6154.2
- 散金: 40
- 红花: 6
- 帖子: 356
- 在线: 791.6小时
- 虫号: 1281957
- 注册: 2011-04-30
- 性别: GG
- 专业: 金属功能材料
7楼2016-01-23 09:18:45
8楼2016-03-27 15:17:16














回复此楼

