版块导航
正在加载中...
客户端APP下载
登录
注册
帖子
帖子
用户
本版
应《网络安全法》要求,自2017年10月1日起,未进行实名认证将不得使用互联网跟帖服务。为保障您的帐号能够正常使用,请尽快对帐号进行手机号验证,感谢您的理解与支持!
24小时热门版块排行榜
>
论坛更新日志
(3059)
>
虫友互识
(332)
>
文献求助
(235)
>
导师招生
(191)
>
硕博家园
(120)
>
考博
(110)
>
休闲灌水
(103)
>
基金申请
(53)
>
招聘信息布告栏
(49)
>
博后之家
(47)
>
攻关文献(高奖励)
(44)
>
论文投稿
(26)
>
绿色求助(高悬赏)
(18)
>
找工作
(17)
>
教师之家
(16)
>
考研
(14)
小木虫论坛-学术科研互动平台
»
专业学科区
»
数学
»
数学综合
»
maple求得的符号矩阵对其中的符号赋值
2
1/1
返回列表
查看: 2167 | 回复: 1
只看楼主
@他人
存档
新回复提醒
(忽略)
收藏
在APP中查看
》》》
金虫
(小有名气)
应助: 0
(幼儿园)
金币: 415.7
散金: 20
帖子: 257
在线: 87.4小时
虫号: 2448401
注册: 2013-05-04
性别: GG
专业: 机构学与机器人
[
求助
]
maple求得的符号矩阵对其中的符号赋值
已有1人参与
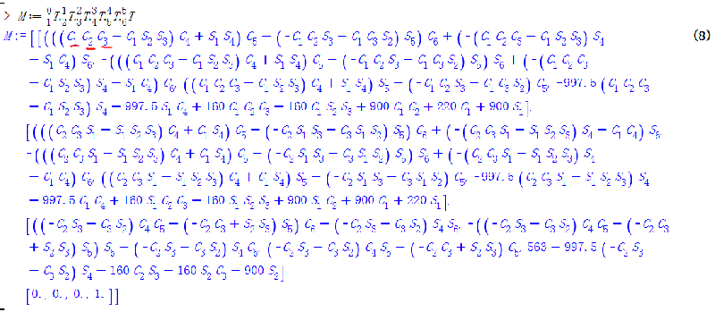
对符号矩阵中的每一个未知数赋值,然后求得矩阵的数值形式,这个用maple如何写程序,刚接触maple急着用,求具体的操作步骤或相关参考资料!!谢谢!!
maple矩阵.GIF
回复此楼
» 猜你喜欢
评审感受-评审感受-评审感受
已经有4人回复
窗边初夏的小雨
已经有8人回复
护理论文 晋升
已经有3人回复
生物学博士
已经有5人回复
2026年申博-电池方向
已经有11人回复
26年申博自荐-计算机视觉
已经有4人回复
导师各种操作恶心咋办
已经有8人回复
2026博士申请求助
已经有5人回复
研究生做的很差,你们会让毕业吗?
已经有11人回复
求碳排放博导;方向是LCA、生命周期可持续发展以及碳排放
已经有7人回复
» 本主题相关价值贴推荐,对您同样有帮助:
关于刚度矩阵的不解,求解答
已经有5人回复
关于刚度矩阵的不解,求解答
已经有12人回复
求教程~matlab能推导复杂的公式么?听说用matlab中的符号运算?有相关的资料教程么?
已经有11人回复
请问在fortran里面怎么求复数矩阵的行列式!!!
已经有4人回复
求助matlab中含有三角矩阵的矩阵方程求解
已经有3人回复
用maple作偏微分方程解的三维图形
已经有6人回复
Matlab心得及学习方法(不断更新)
已经有26人回复
matlab中如何建立符号矩阵?
已经有12人回复
maple二重积分积不出来,积分结果该怎么化简,急急急!!!
已经有9人回复
matlab 函数文件 符号运算
已经有3人回复
求助一个简单的矩阵行列式问题~~~
已经有12人回复
Mathmatica计算矩阵,Eigenvectors结果很乱看不到,很多符号不理解
已经有4人回复
怎么在一个0矩阵中产生随机分布的1小矩阵
已经有4人回复
请问这个符号在博弈中表示什么意思?其中S为矩阵
已经有5人回复
循环计算出的矩阵的保存
已经有10人回复
求助关于矩阵的行列式
已经有9人回复
Hermite矩阵的特征值计算问题
已经有6人回复
maple计算行列式
已经有8人回复
行列式的值,矩阵相乘
已经有6人回复
【求助】结构绘画后如何输入单位符号和中文文字
已经有6人回复
【求助】maple 中如何实现连续plot
已经有3人回复
【求助】Maple作图坐标轴如何输入特殊符号问题
已经有3人回复
【求助】用MAPLE计算一个符号矩阵的行列式的解
已经有4人回复
【求助】(在线等)maple中这个符号矩阵为什么生不成?
已经有5人回复
【求助】OFDM符号的问题(无重复)
已经有5人回复
【求助】请教级数求和【已解决】
已经有8人回复
1楼
2015-04-14 21:34:11
已阅
回复此楼
关注TA
给TA发消息
送TA红花
TA的回帖
zaq123321
专家顾问
(著名写手)
专家经验: +343
数学EPI: 6
应助: 298
(大学生)
贵宾: 0.247
金币: 10791.3
散金: 275
红花: 29
帖子: 1223
在线: 539.9小时
虫号: 405284
注册: 2007-06-17
性别:
MM
专业: 生物大分子结构与功能
管辖:
数学
【答案】应助回帖
感谢参与,应助指数 +1
B:=eval(M,[a=1,b=2,c=3]):
Evalf(B)
[ 发自手机版 http://muchong.com/3g ]
赞
一下
(1人)
回复此楼
小木虫给我温暖,给我希望,爱就要爱小木虫。
2楼
2015-04-15 02:08:23
已阅
回复此楼
关注TA
给TA发消息
送TA红花
TA的回帖
相关版块跳转
数理科学综合
机械
物理
数学
农林
食品
地学
能源
信息科学
土木建筑
航空航天
转基因
我要订阅楼主
》》》
的主题更新
2
1/1
返回列表
如果回帖内容含有宣传信息,请如实选中。否则帐号将被全论坛禁言
普通表情
龙
兔
虎
猫
百度网盘
|
360云盘
|
千易网盘
|
华为网盘
在新窗口页面中打开自己喜欢的网盘网站,将文件上传后,然后将下载链接复制到帖子内容中就可以了。
信息提示
关闭
请填处理意见
关闭
确定