版块导航
正在加载中...
客户端APP下载
论文辅导
调剂小程序
登录
注册
帖子
帖子
用户
本版
应《网络安全法》要求,自2017年10月1日起,未进行实名认证将不得使用互联网跟帖服务。为保障您的帐号能够正常使用,请尽快对帐号进行手机号验证,感谢您的理解与支持!
24小时热门版块排行榜
>
论坛更新日志
(2806)
>
虫友互识
(734)
>
休闲灌水
(197)
>
导师招生
(92)
>
论文投稿
(60)
>
文献求助
(37)
>
博后之家
(35)
>
考博
(26)
>
招聘信息布告栏
(24)
>
基金申请
(24)
>
考研
(24)
>
硕博家园
(22)
>
找工作
(19)
>
论文道贺祈福
(16)
>
教师之家
(15)
>
公派出国
(14)
小木虫论坛-学术科研互动平台
»
专业学科区
»
数学
»
基础数学
»
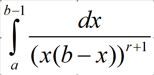
一道积分题目,敬向各路大神求救
5
1/1
返回列表
查看: 867 | 回复: 4
只看楼主
@他人
存档
新回复提醒
(忽略)
收藏
在APP中查看
a王栋11
金虫
(正式写手)
应助: 0
(幼儿园)
金币: 1258
散金: 305
红花: 3
帖子: 466
在线: 124.6小时
虫号: 3234220
注册: 2014-05-26
性别: GG
专业: 传染病流行病学
[
求助
]
一道积分题目,敬向各路大神求救
已有2人参与
一道积分题目,敬向各路大神求救
积分题目.png
回复此楼
» 猜你喜欢
情人节自我反思:在爱情中有过遗憾吗?
已经有6人回复
售SCI一区文章,我:8 O5 51O 54,科目齐全,可+急
已经有3人回复
售SCI一区文章,我:8 O5 51O 54,科目齐全,可+急
已经有3人回复
售SCI一区文章,我:8 O5 51O 54,科目齐全,可+急
已经有3人回复
售SCI一区文章,我:8 O5 51O 54,科目齐全,可+急
已经有3人回复
售SCI一区文章,我:8 O5 51O 54,科目齐全,可+急
已经有3人回复
售SCI一区文章,我:8 O5 51O 54,科目齐全,可+急
已经有4人回复
售SCI一区文章,我:8 O5 51O 54,科目齐全,可+急
已经有4人回复
售SCI一区文章,我:8 O5 51O 54,科目齐全,可+急
已经有4人回复
售SCI一区文章,我:8 O5 51O 54,科目齐全,可+急
已经有4人回复
» 本主题相关价值贴推荐,对您同样有帮助:
求助大神~ 关于复函数与模拟
已经有5人回复
分子生物新手求助大神答疑解惑
已经有6人回复
求助,急求!请各位大神帮忙,感激不尽
已经有4人回复
求助大神解晶体!!!!!!
已经有4人回复
求助大神们。审稿人结论:请将基金信息加入正文中 这个怎么改啊
已经有17人回复
为了毕业急求结晶体,求大神们帮忙!!!!!!
已经有17人回复
各路大神看过来,嘿嘿,求助介孔MCM-41 XRD分析
已经有6人回复
紧急求助一道数字信号处理题目,求大神!
已经有6人回复
Comsol 计算结果导入下一个求解的问题,求大神帮忙!
已经有5人回复
一道求极限的题目
已经有5人回复
求解化工热力学题目
已经有14人回复
关于CCK-8结果异常,向各位大神求助
已经有7人回复
一道高二数学,求解
已经有18人回复
求助大神。。。氮气钢瓶的问题
已经有9人回复
投过CPB的大神们求助啊!!
已经有7人回复
求大神帮忙解题啊!!!
已经有4人回复
求助大神们《食品科学》杂志投稿问题
已经有17人回复
额,最近老是被这个问题困扰,大神们,求助啊!!!!
已经有8人回复
求助CATIA大神
已经有5人回复
现有机械类综述一篇,求各路大神投稿推荐!~
已经有16人回复
求助大神啊,我为什么总是合成不出来
已经有12人回复
求助 ANSYS CFX 软件大神
已经有5人回复
关于两个参数的曲线拟合问题,向大神们求助
已经有3人回复
求助大神物理化学习题答案(详细解答过程)
已经有3人回复
急、急、急,求助高分子的各位大神们!!!
已经有24人回复
【讨论】一道化工原理流体流动方面的题
已经有15人回复
1楼
2015-04-11 15:15:34
已阅
回复此楼
关注TA
给TA发消息
送TA红花
TA的回帖
Edstrayer
版主
(著名写手)
方寸斗室小天地正气迷漫大世界
数学EPI: 7
应助: 157
(高中生)
贵宾: 0.927
金币: 9349.6
散金: 4503
红花: 77
沙发: 2
帖子: 2745
在线: 1465.6小时
虫号: 3086598
注册: 2014-03-25
管辖:
数学
【答案】应助回帖
感谢参与,应助指数 +1
首先做变换
,得到:
然后做变换
就有:
而最后的积分可以利用分部积分法得到递推计算公式。
赞
一下
(1人)
回复此楼
青葱岁月圣诞夜,浪漫歌舞迎新年。
2楼
2015-04-11 16:23:11
已阅
回复此楼
关注TA
给TA发消息
送TA红花
TA的回帖
a王栋11
金虫
(正式写手)
应助: 0
(幼儿园)
金币: 1258
散金: 305
红花: 3
帖子: 466
在线: 124.6小时
虫号: 3234220
注册: 2014-05-26
性别: GG
专业: 传染病流行病学
引用回帖:
2楼
:
Originally posted by
Edstrayer
at 2015-04-11 16:23:11
首先做变换u=\frac{b}{2}-x,得到:
\int_a^{b-1}\frac{dx}{^{r+1}}=\int_{1-\frac{b}{2}}^{\frac{b}{2}-a}\frac{du}{\left(\frac{b^2}{4}-u^2\right)^{r+1}}
然后做变换u=\frac{b}{2}\sin w就有:
\int_a^{b-1} ...
老师,您好!能不能再浪费您一点时间,再详细一点?
对了,如果用MATLAB编程能不能求解,怎样求?
syms x s r a c
s=1/(x*(b-x)).^(r+1);
c=int(s,x,a,b-1) 这样为何求不出来呢?
谢谢老师!!!
赞
一下
回复此楼
3楼
2015-04-11 18:57:36
已阅
回复此楼
关注TA
给TA发消息
送TA红花
TA的回帖
终之太刀—晓
铁杆木虫
(著名写手)
数学爱好者
数学EPI: 7
应助: 282
(大学生)
贵宾: 0.018
金币: 2934.2
散金: 5589
红花: 53
帖子: 1809
在线: 401.6小时
虫号: 3469007
注册: 2014-10-12
性别:
MM
专业: 偏微分方程
【答案】应助回帖
感谢参与,应助指数 +1
若r是任意实数,则只能走数值解了。
赞
一下
回复此楼
PreferenceforMathematics
4楼
2015-04-12 02:34:54
已阅
回复此楼
关注TA
给TA发消息
送TA红花
TA的回帖
a王栋11
金虫
(正式写手)
应助: 0
(幼儿园)
金币: 1258
散金: 305
红花: 3
帖子: 466
在线: 124.6小时
虫号: 3234220
注册: 2014-05-26
性别: GG
专业: 传染病流行病学
引用回帖:
4楼
:
Originally posted by
终之太刀—晓
at 2015-04-12 02:34:54
若r是任意实数,则只能走数值解了。
嗯,r是任意实数,但是不太清楚怎样数值解?matlab.多谢了*^_^*
[ 发自小木虫客户端 ]
赞
一下
回复此楼
5楼
2015-04-12 16:41:06
已阅
回复此楼
关注TA
给TA发消息
送TA红花
TA的回帖
相关版块跳转
数理科学综合
机械
物理
数学
农林
食品
地学
能源
信息科学
土木建筑
航空航天
转基因
我要订阅楼主
a王栋11
的主题更新
5
1/1
返回列表
如果回帖内容含有宣传信息,请如实选中。否则帐号将被全论坛禁言
普通表情
龙
兔
虎
猫
百度网盘
|
360云盘
|
千易网盘
|
华为网盘
在新窗口页面中打开自己喜欢的网盘网站,将文件上传后,然后将下载链接复制到帖子内容中就可以了。
最具人气热帖推荐
[查看全部]
作者
回/看
最后发表
[
基金申请
]
情人节自我反思:在爱情中有过遗憾吗?
+5
瞬息宇宙
2026-02-15
6/300
2026-02-18 12:51
by
月下雪林
[
找工作
]
售SCI一区文章,我:8 O5 51O 54,科目齐全,可+急
+3
i3cz6qj6l2
2026-02-17
3/150
2026-02-18 11:09
by
lqtl9djx19
[
考博
]
售SCI一区文章,我:8 O5 51O 54,科目齐全,可+急
+3
i3cz6qj6l2
2026-02-17
3/150
2026-02-18 10:54
by
lqtl9djx19
[
考研
]
售SCI一区文章,我:8 O5 51O 54,科目齐全,可+急
+3
i3cz6qj6l2
2026-02-17
3/150
2026-02-18 10:39
by
lqtl9djx19
[
考研
]
售SCI一区文章,我:8 O5 51O 54,科目齐全,可+急
+3
pnpwoqbg8f
2026-02-17
3/150
2026-02-18 08:53
by
lqtl9djx19
[
硕博家园
]
售SCI一区文章,我:8 O5 51O 54,科目齐全,可+急
+3
pnpwoqbg8f
2026-02-17
3/150
2026-02-18 08:38
by
lqtl9djx19
[
找工作
]
售SCI一区文章,我:8 O5 51O 54,科目齐全,可+急
+4
pnpwoqbg8f
2026-02-17
4/200
2026-02-18 07:55
by
lotyj5cz79
[
基金申请
]
售SCI一区文章,我:8 O5 51O 54,科目齐全,可+急
+3
pnpwoqbg8f
2026-02-16
4/200
2026-02-18 07:40
by
lotyj5cz79
[
考研
]
售SCI一区文章,我:8 O5 51O 54,科目齐全,可+急
+4
pnpwoqbg8f
2026-02-16
4/200
2026-02-18 07:38
by
lotyj5cz79
[
硕博家园
]
售SCI一区文章,我:8 O5 51O 54,科目齐全,可+急
+4
pnpwoqbg8f
2026-02-16
4/200
2026-02-18 07:23
by
lotyj5cz79
[
论文投稿
]
售SCI一区文章,我:8 O5 51O 54,科目齐全,可+急
+4
pnpwoqbg8f
2026-02-16
4/200
2026-02-18 07:08
by
lotyj5cz79
[
公派出国
]
售SCI一区文章,我:8 O5 51O 54,科目齐全,可+急
+3
pnpwoqbg8f
2026-02-16
3/150
2026-02-18 06:53
by
lotyj5cz79
[
论文投稿
]
售SCI一区文章,我:8 O5 51O 54,科目齐全,可+急
+3
pnpwoqbg8f
2026-02-17
3/150
2026-02-18 00:40
by
tk2gfblvuz
[
找工作
]
售SCI一区文章,我:8 O5 51O 54,科目齐全,可+急
+3
pnpwoqbg8f
2026-02-17
4/200
2026-02-18 00:23
by
tk2gfblvuz
[
公派出国
]
售SCI一区文章,我:8 O5 51O 54,科目齐全,可+急
+3
pnpwoqbg8f
2026-02-17
3/150
2026-02-17 23:40
by
tk2gfblvuz
[
基金申请
]
基金正文30页指的是报告正文还是整个申请书
+3
successhe
2026-02-16
4/200
2026-02-17 20:56
by
successhe
[
基金申请
]
今年春晚有几个节目很不错,点赞!
+5
瞬息宇宙
2026-02-16
6/300
2026-02-17 12:49
by
jymy19840415
[
微米和纳米
]
球磨粉体时遇到了大的问题,请指教!
10
+3
6sbiam
2026-02-12
15/750
2026-02-16 15:03
by
tgzxzqj
[
基金申请
]
过年走亲戚时感受到了所开私家车的鄙视链
+3
瞬息宇宙
2026-02-15
5/250
2026-02-16 14:23
by
aspect3000
[
硕博家园
]
江汉大学解明教授课题组招博士研究生/博士后
+3
cleverlyy
2026-02-12
3/150
2026-02-12 21:02
by
qsdf1
信息提示
关闭
请填处理意见
关闭
确定