| 查看: 797 | 回复: 4 | |
wallyy1007金虫 (小有名气)
|
[求助]
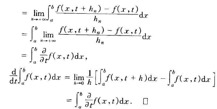
实变函数中Fourier变换证明的疑惑 已有3人参与
|
|
|
|
|
2楼2015-04-01 22:55:11
|
|
peterflyer
|
|
|
3楼2015-04-01 23:22:43
|
|
wallyy1007金虫 (小有名气)
|
|
|
4楼2015-04-01 23:33:14
|
|
终之太刀—晓铁杆木虫 (著名写手)
数学爱好者
|
|
![]() |
|
|
5楼2015-04-02 00:37:11
|
|













回复此楼

