版块导航
正在加载中...
客户端APP下载
论文辅导
申博辅导
登录
注册
帖子
帖子
用户
本版
应《网络安全法》要求,自2017年10月1日起,未进行实名认证将不得使用互联网跟帖服务。为保障您的帐号能够正常使用,请尽快对帐号进行手机号验证,感谢您的理解与支持!
24小时热门版块排行榜
>
论坛更新日志
(328)
>
虫友互识
(33)
>
导师招生
(11)
>
休闲灌水
(8)
>
论文道贺祈福
(6)
>
招聘信息布告栏
(3)
>
博后之家
(1)
>
基金申请
(1)
>
硕博家园
(1)
>
考博
(1)
>
文献求助
(1)
>
生物科学
(1)
>
考研
(1)
>
论文投稿
(1)
小木虫论坛-学术科研互动平台
»
计算模拟区
»
计算模拟
»
其他
»
Materials Studio 软件DMol3模块计算过渡态能量低于产物能量
2
1/1
返回列表
查看: 1657 | 回复: 1
只看楼主
@他人
存档
新回复提醒
(忽略)
收藏
在APP中查看
焦卫红
木虫
(著名写手)
应助: 4
(幼儿园)
金币: 2742.6
红花: 2
帖子: 1778
在线: 188.9小时
虫号: 2688196
注册: 2013-09-28
专业: 理论和计算化学
[
求助
]
Materials Studio 软件DMol3模块计算过渡态能量低于产物能量
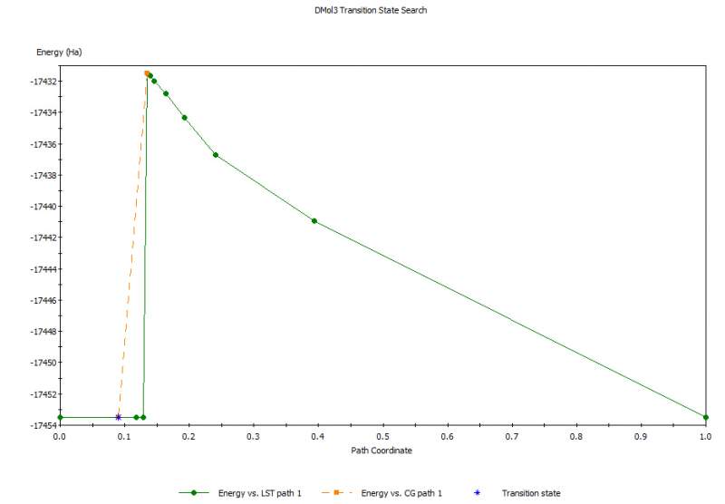
反应物和产物均已结构优化到稳定状态,进行TS Search,结果过渡态的能量比产物的能量低(如下图DMol3 Transition State Search),请教各位同僚,哪位遇到过同样的情况,该怎么解释或者怎么解决的?不胜感激!
DMol3 Transition State Search.jpg
outmol.jpg
回复此楼
» 猜你喜欢
深圳大学2026年秋博士招生-物理学-活性胶体方向-高永祥课题组
已经有17人回复
论物质与能量的统一模型及物理现象解释
已经有0人回复
物理学I论文润色/翻译怎么收费?
已经有179人回复
基于基元I统一理论的数学相关应用推导
已经有0人回复
基元I统一理论:宇宙本质、层级演化与修炼文明的本源规律
已经有1人回复
基元I理论下三大核心空间现象精准推导与细节解析
已经有0人回复
基于基元 I 统一理论的反重力理论推导
已经有0人回复
基于基元I统一理论的量子力学本源推导
已经有1人回复
推荐一款可以AI辅助写作的Latex编辑器SmartLatexEditor,超级好用,AI润色,全免费
已经有17人回复
【EI|Scopus 双检索】第六届智能机器人系统国际会议(ISoIRS 2026)
已经有0人回复
2026年第四届电动车与车辆工程国际会议(CEVVE 2026)
已经有0人回复
» 本主题相关价值贴推荐,对您同样有帮助:
MS-Castep葉綠素分子模擬
已经有9人回复
materials studio 的Dmol3模块,运行过程中停止,licence有问题,求解
已经有7人回复
MS的Dmol3模块COSMO计算的问题。
已经有38人回复
materials-studio软件计算氧气分子能量。
已经有7人回复
Material studio软件中Forcite模块结构优化时的参数设置问题
已经有13人回复
MATERIAL STUDIO 6.0 DMOL3 模拟计算如何利用上次优化好的结果算其它性质?
已经有5人回复
Material studio Dmol3 优化结构和 Gaussian09 NMR 计算
已经有9人回复
请教,关于Dmol3,如何在优化好的结构中计算能量和频率
已经有4人回复
Dmol 3 计算加电场
已经有13人回复
Materials studio计算态密度、能带结构等等
已经有12人回复
Materials Studio 批处理求助
已经有24人回复
Dmol3输出图形文件分析
已经有6人回复
materials studio向Linux提交任务刚算就失败
已经有9人回复
天津超算中心任务Materials Studio(MS)提交
已经有15人回复
求问为什么使用DMOL3模块优化石墨烯结构的时候没有能量曲线?
已经有13人回复
【求助】Dmol3和Castep的区别
已经有13人回复
【转帖】Materials Studio5.0中的新技术
已经有28人回复
1楼
2015-03-27 18:22:55
已阅
回复此楼
关注TA
给TA发消息
送TA红花
TA的回帖
齊ωō窩
铁虫
(初入文坛)
应助: 0
(幼儿园)
金币: 9.8
帖子: 22
在线: 7.3小时
虫号: 3639512
注册: 2015-01-11
专业: 理论和计算化学
遇到了同样的问题,求大神解答!
赞
一下
回复此楼
2楼
2016-05-11 11:09:13
已阅
回复此楼
关注TA
给TA发消息
送TA红花
TA的回帖
相关版块跳转
第一性原理
量子化学
计算模拟
分子模拟
仿真模拟
程序语言
我要订阅楼主
焦卫红
的主题更新
2
1/1
返回列表
如果回帖内容含有宣传信息,请如实选中。否则帐号将被全论坛禁言
普通表情
龙
兔
虎
猫
百度网盘
|
360云盘
|
千易网盘
|
华为网盘
在新窗口页面中打开自己喜欢的网盘网站,将文件上传后,然后将下载链接复制到帖子内容中就可以了。
信息提示
关闭
请填处理意见
关闭
确定