| 查看: 1417 | 回复: 2 | ||
[求助]
用fortran解动力学方程,急求解法
|
|
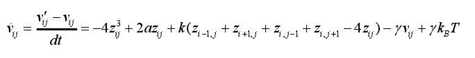
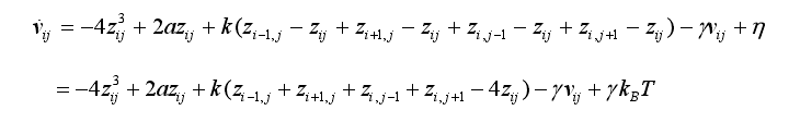
其中Zij是二维振子矩阵,vij是是振子初速度,γ=0.1 KBT=0.25 矩阵30X30,a=1 ,K=20; vij一撇=V0*exp(-(i*i+j*j)/2.0) dt 看作是激光脉冲与铁电晶体的作用时间vij′是(i, j)位置上的振子振动 dt后的速度,vij 是振子的初始速度,这里统一设定为零. 方程.png 方程2.png |
» 猜你喜欢
基于基元I统一理论的量子力学本源推导
已经有1人回复
推荐一款可以AI辅助写作的Latex编辑器SmartLatexEditor,超级好用,AI润色,全免费
已经有20人回复
物理学I论文润色/翻译怎么收费?
已经有288人回复
【EI|Scopus 双检索】第六届智能机器人系统国际会议(ISoIRS 2026)
已经有1人回复
2026年第四届电动车与车辆工程国际会议(CEVVE 2026)
已经有0人回复
» 本主题相关价值贴推荐,对您同样有帮助:
用fortran解一个二阶微分方程
已经有14人回复
病态矩阵的精确解求解
已经有17人回复
求助!!对于调用龙格库塔法如何对结果判断反馈
已经有6人回复
相场法fortran源代码
已经有166人回复
matlab动力学模型编程求助
已经有6人回复
用fortran怎么读.CSV文件
已经有11人回复
波动方程的有限元方程
已经有7人回复
CFX求解时程序出错问题(急!!!)
已经有5人回复
关于应用fortran编写高斯消去法程序来求解方程组的问题
已经有5人回复
如何求解带有固定参数的超定方程组?
已经有21人回复
用fortran程序遗传算法解非线性方程组
已经有7人回复
非线性微分耦合方程的解法
已经有9人回复
微分方程组参数拟合的问题(多参数动力系统参数估计)
已经有11人回复
【求助】非线性方程组的求解问题
已经有6人回复
多变量齐次方程解
已经有4人回复
求fortran解非线性方程组
已经有4人回复
怎么用晶格动力学 计算phonon色散关系
已经有6人回复
急求fortran运行错误原因,在线等
已经有7人回复
急求可用的fortran编译器
已经有13人回复
【求助】用fortran怎么描述下面这样的情况,我是新手,请大家帮忙
已经有8人回复


2楼2015-03-19 09:33:26
pk39
木虫 (著名写手)
- 应助: 2 (幼儿园)
- 金币: 2645.6
- 散金: 100
- 红花: 1
- 帖子: 1463
- 在线: 163.2小时
- 虫号: 1844033
- 注册: 2012-06-02
- 专业: 无机非金属类光电信息与功
3楼2015-03-19 09:39:00













回复此楼