| ²é¿´: 3776 | »Ø¸´: 37 | ||
[ÇóÖú]
CVÇúÏßΪʲô¸úÎÄÏ×ÀïµÄÏà·´ ÒÑÓÐ6È˲ÎÓë
|
||
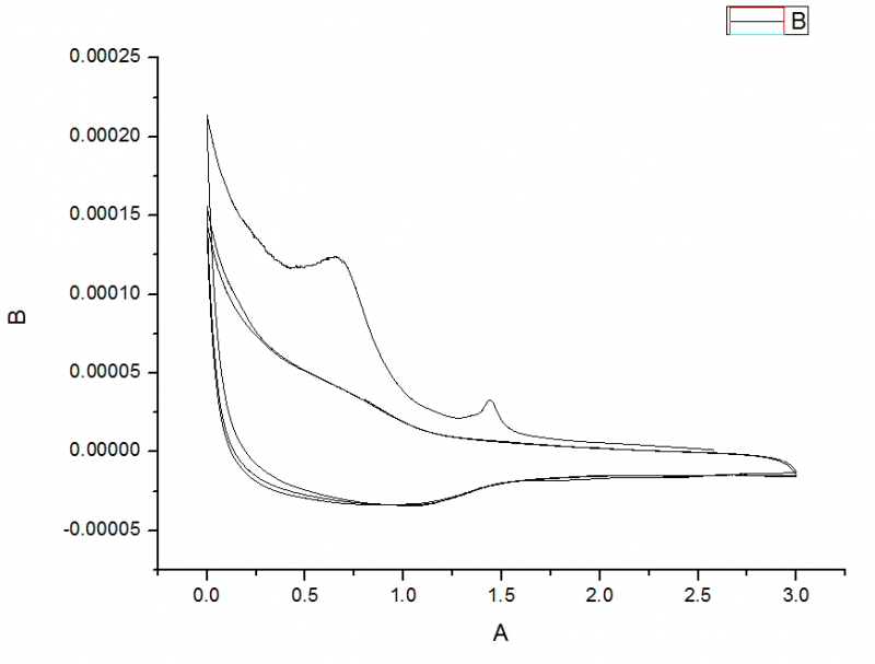
| ÎÒ×öµÄÊÇ̼²ÄÁÏ£¬×ö³öÀ´µÄCVÇúÏߣ¬ÓÃorigin×÷ͼºó£¬ÇúÏ߸úÎÄÏ×ÀïµÄÏà·´£¬¾ÍÊÇÎÒµÄÊǵçѹϽµ£¬µçÁ÷ÉÏÉý£¬¶øÎÄÏ×ÀïµÄÊǵçѹϽµ£¬µçÁ÷Ͻµ£¬¹òÇóÖ¸µã×÷ͼ·½·¨ |
» ²ÂÄãϲ»¶
ºþÄÏũҵ´óѧÄÜÔ´²ÄÁÏ´´ÐÂÍŶÓÕÐÊÕ2025»¯Ñ§×¨ÒµÑо¿Éú£¨Ñ§Ë¶£©µ÷¼Á
ÒѾÓÐ0È˻ظ´
2026ÄêÎ÷»ª´óѧ²ÄÁÏѧԺ-²ÄÁϽü¾»³ÉÐÎÓë±íÃæ¼¼ÊõÑо¿ÍŶÓ-ÕÐÊÕµ÷¼ÁÑо¿Éú
ÒѾÓÐ9È˻ظ´
·ÖÎö»¯Ñ§ÂÛÎÄÈóÉ«/·ÒëÔõôÊÕ·Ñ?
ÒѾÓÐ292È˻ظ´
µ÷¼ÁÐÅÏ¢
ÒѾÓÐ0È˻ظ´
»ªÄÏÀí¹¤0703»¯Ñ§£¬×Ü·Ö336Çóµ÷¼Á
ÒѾÓÐ8È˻ظ´
ºÓ±±Å©´óÉúÎïÓëҽҩרҵÕÐÊÕµ÷¼Á£¬Ãû¶î³ä×ã
ÒѾÓÐ0È˻ظ´
Æë³¹¤Òµ´óѧ ¹ú¼ÒÖØµãʵÑéÊÒ-ÐÂÄÜÔ´¡¢ï®Àë×Óµç³Ø¡¢²ÄÁÏ¡¢»¯Ñ§·½Ïò
ÒѾÓÐ0È˻ظ´
һ־Ըǰ4λ´úÂë0703¾ù¿É±¨Ãû-ºÓ±±´óѧ·ÖÎö»¯Ñ§×¨ÒµÕÐÊÕµ÷¼Á¿¼Éú
ÒѾÓÐ57È˻ظ´
¡ï¡ï±¬¡ï¡ï0860ÉúÎïÓëÒ½Ò©µ÷¼Á¿¼Éú¿´¹ýÀ´£¬ºÓ±±´óѧ»¯Ñ§Óë²ÄÁÏ¿ÆÑ§Ñ§Ôº
ÒѾÓÐ73È˻ظ´
½ÜÇà/³¤½ÍŶÓÕÐÊÕµ÷¼Á
ÒѾÓÐ0È˻ظ´
ÖÐÄÏÁÖÒµ¿Æ¼¼´óѧÂÞÓ·æ½ÌÊÚÍŶÓ2026ÄêÕÐÊÕ²ÄÁÏÀàµ÷¼ÁÑо¿Éú
ÒѾÓÐ0È˻ظ´
» ±¾Ö÷ÌâÏà¹ØÉ̼ÒÍÆ¼ö: (ÎÒÒ²ÒªÔÚÕâÀïÍÆ¹ã)
» ±¾Ö÷ÌâÏà¹Ø¼ÛÖµÌùÍÆ¼ö£¬¶ÔÄúͬÑùÓаïÖú:
CVÇúÏßΪʲô²»ÊǾØÐΣ¿
ÒѾÓÐ8È˻ظ´
Ñ»··ü°²·¨É¨³öÀ´µÄCVÇúÏߵķåºÜ¿í£¬ÊDz»ÊÇÓÐʲôÎÊÌâ
ÒѾÓÐ14È˻ظ´
CV²âÊÔÇóÖú£¬CVÇúÏßµãÌØ±ðÂÒÊÇÔõô»ØÊÂ
ÒѾÓÐ11È˻ظ´
CVÇúÏß»ùÏߺ͵绯ѧ´°¿ÚÎÊÌâ
ÒѾÓÐ3È˻ظ´
ÕâÑùµÄCVÇúÏßÕý³£Â룿
ÒѾÓÐ5È˻ظ´
¡¾ÇóÖú¡¿ÕâÑùµÄCVÇúÏß·´Ó³ÁËʲô¹ý³Ì£¿
ÒѾÓÐ7È˻ظ´
CVÇúÏßÇó°ï·ÖÎöÏ£¡
ÒѾÓÐ6È˻ظ´
ÇóÖú£ºCVÇúÏß²»Æ½»¬ÊÇʲôÔÒò
ÒѾÓÐ11È˻ظ´
Èýµç¼«CVÇúÏߣ¬ÎªÊ²Ã´µçÁ÷ÕâôµÍÄØ£¿
ÒѾÓÐ39È˻ظ´
CVÇúÏß×÷³öÀ´ÊÇÌõÖ±Ïߣ¬¸Ä±äÁéÃôÖµÒ²²»ÐУ¬ÎªÊ²Ã´£¬»¹Óи÷ÖÖ¹îÒìµÄCVÇúÏß
ÒѾÓÐ28È˻ظ´
²ËÄñÇóÖúCVÇúÏß·ÖÎö
ÒѾÓÐ10È˻ظ´
CVÇúÏß Çó·ÖÎö
ÒѾÓÐ3È˻ظ´
PtÔÚÁòËáÖеÄCVÇúÏߣ¬ÎªÉ¶ÎÒµÄÇúÏßÍ·²¿·åÌØ±ð¼âÈñÄØ£¿
ÒѾÓÐ11È˻ظ´
¡¾Çë½Ì¡¿CVÇúÏß»ý·ÖÎÊÌâ
ÒѾÓÐ10È˻ظ´
ÎÒµÄÑ»··ü°²ÇúÏߣ¨CV£©ÎªÊ²Ã´¶à³öÒ»¸ö·åÀ´
ÒѾÓÐ25È˻ظ´
Çó´ó¼Ò°ïæ·ÖÎöÏÂÕâ¸öCVÇúÏß°É
ÒѾÓÐ10È˻ظ´
CVÇúÏßµãÌ«¶à£¬Öغ϶ÈÒ²¸ß£¬±ÏÒµÂÛÎĺڰ״òÓ¡ºóÖØµþÔÚÒ»Æð£¬²»ÄÜÇø·Ö£¬Ôõô°ì£¿
ÒѾÓÐ9È˻ظ´
¡¾ÇóÖú¡¿CVÇúÏßÖÐÇâÎüÍѸ½·åµçÁ¿µÄ¼ÆËã
ÒѾÓÐ20È˻ظ´
¡¾ÌÖÂÛ¡¿CVÇúÏß ØÍµçÈÝÏà¹Ø
ÒѾÓÐ23È˻ظ´
¡¾ÇóÖú¡¿CVÇúÏßÔõô¼ÆËã±ÈµçÈÝÄØ£¿
ÒѾÓÐ17È˻ظ´
¡¾ÇóÖú¡¿¹ØÓÚÕâÆªÎÄÏ×ÖÐSOC-OCVÇúÏßµÄÎÊÌâ
ÒѾÓÐ8È˻ظ´
godsdream09
Òø³æ (ÕýʽдÊÖ)
- Ó¦Öú: 70 (³õÖÐÉú)
- ½ð±Ò: 1732
- É¢½ð: 441
- ºì»¨: 28
- Ìû×Ó: 562
- ÔÚÏß: 321.1Сʱ
- ³æºÅ: 2733404
- ×¢²á: 2013-10-18
- ÐÔ±ð: GG
- רҵ: µç»¯Ñ§
|
¿´Á˰ëÌ죬·¢ÏÖȷʵÈçǰÈËËù˵£¬°ëͰˮµÄºÜ¶à£¬»¹³öÀ´Îóµ¼ÈË¡£¸ù±¾²»¿´È˼ÒÓÃʲôÉ豸£¬»òÕßû×Ðϸ˼¿¼ÔÒò¾Í»Ø´ð¡£³½»ªÖ»ÓÐÕýɨºÍ·´É¨£¬·ÇÌáredox£¬¸º¼«ÏÈ·´É¨µ±È»ÊÇ»¹Ô£¬Õý¼«ÏÈÕýɨµ±È»ÊÇÑõ»¯¡£×Ðϸ¶Ô±È±ãÖªÖ»ÊǵçÁ÷Õý¸º·´ÁË£¬ÔÚÉèÖÃÖе÷¹ýÀ´²»¾ÍÐÐÁË¡£ [ ·¢×ÔÊÖ»ú°æ http://muchong.com/3g ] |
» ±¾ÌûÒÑ»ñµÃµÄºì»¨£¨×îÐÂ10¶ä£©

28Â¥2015-03-16 05:03:16
·çÔÆÎÞ¼É2010
ÖÁ×ðľ³æ (Ö°Òµ×÷¼Ò)
ÄùÅÍÖÐ
- Ó¦Öú: 34 (СѧÉú)
- ½ð±Ò: 26584.4
- É¢½ð: 9
- ºì»¨: 10
- ɳ·¢: 1
- Ìû×Ó: 3189
- ÔÚÏß: 188.4Сʱ
- ³æºÅ: 3476798
- ×¢²á: 2014-10-15
- ÐÔ±ð: GG
- רҵ: µç»¯Ñ§
¡¾´ð°¸¡¿Ó¦Öú»ØÌû
¡ï ¡ï ¡ï ¡ï ¡ï ¡ï ¡ï ¡ï ¡ï ¡ï ¡ï ¡ï ¡ï ¡ï ¡ï ¡ï ¡ï ¡ï ¡ï ¡ï ¡ï ¡ï ¡ï ¡ï ¡ï ¡ï ¡ï ¡ï ¡ï ¡ï ¡ï ¡ï ¡ï ¡ï ¡ï ¡ï ¡ï ¡ï ¡ï ¡ï ¡ï ¡ï ¡ï ¡ï ¡ï ¡ï ¡ï ¡ï ¡ï ¡ï
¸Ðл²ÎÓ룬ӦÖúÖ¸Êý +1
mxzhaha: ½ð±Ò+50 2015-03-15 16:10:04
¸Ðл²ÎÓ룬ӦÖúÖ¸Êý +1
mxzhaha: ½ð±Ò+50 2015-03-15 16:10:04
ºÎ²»¸½Í¼Ò»¿´£¬´ÓÈí¼þÀïµ¼³öµÄÊý¾ÝÊʵ±É¾Ò»²¿·Ö£¬Õý¸ººÅÎÊÌ⣬ÔÚµçÁ÷ΪÁãʱÊý¾Ý¶Ô½Ó£¬×ÐϸÏëÏëÓ¦¸ÃûÎÊÌ⣬²»Ðо͸½Í¼![]() ![]() |

2Â¥2015-03-15 12:17:17
ÐÜfy
ľ³æ (ÕýʽдÊÖ)
- Ó¦Öú: 18 (СѧÉú)
- ½ð±Ò: 4116.4
- É¢½ð: 10
- ºì»¨: 6
- Ìû×Ó: 692
- ÔÚÏß: 250.9Сʱ
- ³æºÅ: 2442008
- ×¢²á: 2013-04-29
- ÐÔ±ð: GG
- רҵ: ÆäËûÎÞ»ú·Ç½ðÊô²ÄÁÏ
¡¾´ð°¸¡¿Ó¦Öú»ØÌû
¸Ðл²ÎÓ룬ӦÖúÖ¸Êý +1
| Â¥Ö÷Èç¹ûÊÇÓ󽻪µÄµç»¯Ñ§¹¤×÷Õ¾²âCV£¬×÷ͼʱµçÁ÷ÐèÒª³Ë-1 |
5Â¥2015-03-15 13:06:23
12Â¥2015-03-15 16:04:22
ÐÜfy
ľ³æ (ÕýʽдÊÖ)
- Ó¦Öú: 18 (СѧÉú)
- ½ð±Ò: 4116.4
- É¢½ð: 10
- ºì»¨: 6
- Ìû×Ó: 692
- ÔÚÏß: 250.9Сʱ
- ³æºÅ: 2442008
- ×¢²á: 2013-04-29
- ÐÔ±ð: GG
- רҵ: ÆäËûÎÞ»ú·Ç½ðÊô²ÄÁÏ
17Â¥2015-03-15 16:31:18
wqtzzt
½ð³æ (ÖøÃûдÊÖ)
- Ó¦Öú: 3 (Ó×¶ùÔ°)
- ½ð±Ò: 1167.6
- É¢½ð: 1096
- ºì»¨: 8
- Ìû×Ó: 1548
- ÔÚÏß: 257Сʱ
- ³æºÅ: 624082
- ×¢²á: 2008-10-12
- ÐÔ±ð: GG
- רҵ: µç»¯Ñ§
|
µçÁ÷µÄÕý¸º£¬ ÃÀ¹ú±ê×¼ºÍÖÐÅ·±ê×¼ÕýºÃÏà·´¡£ÉèÖÃʱҪ¿´Ò»Ï¡£ [ ·¢×ÔСľ³æ¿Í»§¶Ë ] |
» ±¾ÌûÒÑ»ñµÃµÄºì»¨£¨×îÐÂ10¶ä£©
27Â¥2015-03-15 23:36:06
3Â¥2015-03-15 12:55:53
4Â¥2015-03-15 13:01:07
Lsuzan
Ìú³æ (ÕýʽдÊÖ)
- Ó¦Öú: 3 (Ó×¶ùÔ°)
- ½ð±Ò: 4314.8
- É¢½ð: 800
- ºì»¨: 14
- Ìû×Ó: 437
- ÔÚÏß: 291Сʱ
- ³æºÅ: 2407012
- ×¢²á: 2013-04-08
- רҵ: µç»¯Ñ§
6Â¥2015-03-15 13:09:52
·çÔÆÎÞ¼É2010
ÖÁ×ðľ³æ (Ö°Òµ×÷¼Ò)
ÄùÅÍÖÐ
- Ó¦Öú: 34 (СѧÉú)
- ½ð±Ò: 26584.4
- É¢½ð: 9
- ºì»¨: 10
- ɳ·¢: 1
- Ìû×Ó: 3189
- ÔÚÏß: 188.4Сʱ
- ³æºÅ: 3476798
- ×¢²á: 2014-10-15
- ÐÔ±ð: GG
- רҵ: µç»¯Ñ§

7Â¥2015-03-15 13:48:47
fanxuliang90
ľ³æ (ÖøÃûдÊÖ)
- Ó¦Öú: 55 (³õÖÐÉú)
- ½ð±Ò: 3180.4
- É¢½ð: 9323
- ºì»¨: 22
- Ìû×Ó: 2263
- ÔÚÏß: 778.3Сʱ
- ³æºÅ: 1247955
- ×¢²á: 2011-03-28
- ÐÔ±ð: GG
- רҵ: µç»¯Ñ§

8Â¥2015-03-15 13:55:15
baoguagua
Ìú³æ (СÓÐÃûÆø)
- Ó¦Öú: 2 (Ó×¶ùÔ°)
- ½ð±Ò: 452.2
- É¢½ð: 10
- ºì»¨: 1
- Ìû×Ó: 99
- ÔÚÏß: 18.3Сʱ
- ³æºÅ: 3320875
- ×¢²á: 2014-07-13
- ÐÔ±ð: MM
- רҵ: ¹¦ÄÜÌÕ´É
9Â¥2015-03-15 14:25:29
10Â¥2015-03-15 16:02:58














»Ø¸´´ËÂ¥
mxzhaha
ºÎ²»¸½Í¼Ò»¿´£¬´ÓÈí¼þÀïµ¼³öµÄÊý¾ÝÊʵ±É¾Ò»²¿·Ö£¬Õý¸ººÅÎÊÌ⣬ÔÚµçÁ÷ΪÁãʱÊý¾Ý¶Ô½Ó£¬×ÐϸÏëÏëÓ¦¸ÃûÎÊÌ⣬²»Ðо͸½Í¼