| 查看: 338 | 回复: 2 | ||
[求助]
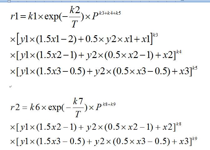
弄动力学参数拟合参数,不知道怎么办了,哪个大神帮忙弄下代码
|
| 下面是我上传的问题和数据,看了几个月的实用化工计算机模拟没有进展,请高手帮忙一下, |
» 本帖附件资源列表
-
欢迎监督和反馈:小木虫仅提供交流平台,不对该内容负责。
本内容由用户自主发布,如果其内容涉及到知识产权问题,其责任在于用户本人,如对版权有异议,请联系邮箱:xiaomuchong@tal.com - 附件 1 : 问题.docx
- 附件 2 : 数据.xlsx
2015-03-02 08:46:05, 19.53 K
2015-03-02 08:46:11, 10.7 K
» 猜你喜欢
过年走亲戚时感受到了所开私家车的鄙视链
已经有5人回复
售SCI一区文章,我:8 O5 51O 54,科目齐全,可+急
已经有6人回复
售SCI一区文章,我:8 O5 51O 54,科目齐全,可+急
已经有6人回复
售SCI一区文章,我:8 O5 51O 54,科目齐全,可+急
已经有11人回复
售SCI一区文章,我:8 O5 51O 54,科目齐全,可+急
已经有9人回复
球磨粉体时遇到了大的问题,请指教!
已经有14人回复
售SCI一区文章,我:8 O5 51O 54,科目齐全,可+急
已经有4人回复
情人节自我反思:在爱情中有过遗憾吗?
已经有5人回复
售SCI一区文章,我:8 O5 51O 54,科目齐全,可+急
已经有6人回复
江汉大学解明教授课题组招博士研究生/博士后
已经有3人回复
» 本主题相关价值贴推荐,对您同样有帮助:
这样的动力学方程能够有1stopt拟合出参数来么
已经有4人回复
使用MATLAB拟合动力学参数问题
已经有18人回复
1stopt数据拟合求助
已经有8人回复
跪求高手帮忙看看这组数据如何进行拟合
已经有7人回复
使用matlab最优化方法拟合获得多个动力学参数中的问题
已经有4人回复
求助1stopt拟合动力学参数
已经有4人回复
求大神帮忙拟合一个非线性方程,求出模型参数
已经有15人回复
拜求!matlab拟合动力学参数
已经有14人回复
关于两个参数的曲线拟合问题,向大神们求助
已经有3人回复
求助用matlab拟合动力学方程
已经有9人回复
使用lsqnonlin函数优化动力学参数,总是得不到合理的结果
已经有6人回复
求大家帮帮忙看看matlab拟合动力学方程的问题,已经走投无路了,求大家帮帮忙啊!
已经有19人回复
怎样用一组参数同时拟合两个曲线--matlab
已经有5人回复
MATLAB微分方程参数拟合问题,求大神
已经有7人回复
急求高手帮写个matlab程序拟合参数求动力学方程。
已经有4人回复
动力学参数拟合
已经有26人回复
matlab 拟合反应动力学参数结果很差。大家帮忙看一下
已经有14人回复
【求助】用matlab最优化方法进行参数拟合
已经有17人回复
2楼2015-03-02 09:14:22
» 本帖附件资源列表
-
欢迎监督和反馈:小木虫仅提供交流平台,不对该内容负责。
本内容由用户自主发布,如果其内容涉及到知识产权问题,其责任在于用户本人,如对版权有异议,请联系邮箱:xiaomuchong@tal.com - 附件 1 : Donglixue.mat
2015-03-02 16:23:20, 1 K
3楼2015-03-02 16:23:24













回复此楼