| ²é¿´: 1748 | »Ø¸´: 6 | ||
Ò¦Äàöúľ³æ (СÓÐÃûÆø)
|
[ÇóÖú]
Çë½ÌÓйضÏÁÑÁ¦Ñ§µÄÎÊÌ⣡ÒÑÓÐ1È˲ÎÓë
|
» ±¾Ö÷ÌâÏà¹Ø¼ÛÖµÌùÍÆ¼ö£¬¶ÔÄúͬÑùÓаïÖú:
Á¦Ñ§ÎÊÌ⣬´ó¼Ò¸ø¿´¿´¡£
ÒѾÓÐ15È˻ظ´
Çë½ÌÁ½¸ö»ù´¡µÄ¹¤³ÌÁ¦Ñ§µÄÎÊÌâ
ÒѾÓÐ10È˻ظ´
¹ØÓÚ²ÄÁÏÁ¦Ñ§ÐÔÄÜһЩ»ù´¡ÎÊÌâµÄ½»Á÷
ÒѾÓÐ15È˻ظ´
Çë½ÌÒ»¸ö¹ØÓÚÈýÔª²ÄÁϵÄÎÊÌâ
ÒѾÓÐ10È˻ظ´
ÇóÖú¹ØÓÚ²ÄÁÏÇü·þÇ¿¶ÈµÄһЩÎÊÌ⣡
ÒѾÓÐ8È˻ظ´
Ò»¸öÓйØÕæ¿Õ״̬ϵÄÁ÷ÌåÁ¦Ñ§ÎÊÌâ
ÒѾÓÐ6È˻ظ´
½ðÊô²ÄÁÏ´àÐÔ¶ÏÁѺÍÈÍÐÔ¶ÏÁÑÎÊÌâ̽ÌÖ
ÒѾÓÐ37È˻ظ´
Çë½Ì´ó¼ÒÒ»¸ö¹ØÓÚÇü·þÇ¿¶ÈµÄÎÊÌ⣿
ÒѾÓÐ4È˻ظ´
Çë½Ì¶ÏÁÑÁ¦Ñ§µÄÎÊÌâ
ÒѾÓÐ4È˻ظ´
¼òµ¥È´ÓÖÁîÈËÀ§»óµÄÁ¦Ñ§ÎÊÌâ
ÒѾÓÐ7È˻ظ´
Çë½ÌÒ»¸ö¹ØÓÚÏàËÆ¶È¼ì²éµÄÎÊÌâ
ÒѾÓÐ6È˻ظ´
Ò»¸ö¼òÖ§ÁºµÄÁ¦Ñ§ÎÊÌâ
ÒѾÓÐ9È˻ظ´
Çë½ÌÒ»¸öÁ¦Ñ§ÎÊÌâ¡£
ÒѾÓÐ11È˻ظ´
Çë½ÌÒ»¸ö¼òµ¥µÄÁ÷ÌåÁ¦Ñ§·½³ÌÎÊÌâ
ÒѾÓÐ3È˻ظ´
·Ö×Ó¶¯Á¦Ñ§×ö³å»÷ÇóÖú
ÒѾÓÐ11È˻ظ´
¹ØÓÚ·ÇÆ½ºâ̬ÈÈÁ¦Ñ§µÄ»ù±¾ÎÊÌâ
ÒѾÓÐ4È˻ظ´
Çë½Ì¸ß·Ö×ÓÁ¦Ñ§ÐÔÄÜ·½ÃæµÄÎÊÌâ
ÒѾÓÐ18È˻ظ´
¶ÏÁÑÈÍÐÔKIc²âÊÔ¹ý³ÌÎÊÌ⣬Çë½Ì
ÒѾÓÐ8È˻ظ´
¡¾ÇóÖú¡¿Çë½ÌÁ¦Ñ§ÎÊÌ⣬¹ØÓÚ×÷ÓÃÁ¦Óë·´×÷ÓÃÁ¦
ÒѾÓÐ22È˻ظ´
¡¾ÇóÖú¡¿Îʼ¸¸ö¹ØÓÚÁ¿×ÓÁ¦Ñ§µÄ»ù±¾ÎÊÌâ
ÒѾÓÐ11È˻ظ´
¡¾ÇóÖú¡¿Çë½Ì´ó¼Ò×öÀÉìÊÔÑéʱ¶ÏÁÑÁ¦Óë×î´óÁ¦µÄÇø±ð£¿
ÒѾÓÐ8È˻ظ´
¡¾½»Á÷¡¿¹ØÓÚ²ÄÁÏ´àÐÔ¶ÏÁÑÁÑÎÆµÄÎÊÌâ
ÒѾÓÐ11È˻ظ´
¡¾ÇóÖú¡¿Çë½ÌÒ»¸ö²ÄÁÏÁ¦Ñ§ÎÊÌâ
ÒѾÓÐ30È˻ظ´
¡¾ÇóÖú¡¿Çë½ÌÒ»¸ö¹ØÓÚÁ÷ÌåÁ¦Ñ§ÏàËÆ×¼ÔòµÄÎÊÌâ¡£
ÒѾÓÐ7È˻ظ´

dickliu7
Ìú¸Ëľ³æ (ÖøÃûдÊÖ)
- MM-EPI: 1
- Ó¦Öú: 559 (²©Ê¿)
- ½ð±Ò: 6177.4
- ºì»¨: 82
- Ìû×Ó: 1139
- ÔÚÏß: 299.5Сʱ
- ³æºÅ: 1651509
- ×¢²á: 2012-02-28
- רҵ: ½ðÊô½á¹¹²ÄÁÏ
¡¾´ð°¸¡¿Ó¦Öú»ØÌû
¡ï ¡ï ¡ï ¡ï ¡ï ¡ï ¡ï ¡ï ¡ï ¡ï
¸Ðл²ÎÓ룬ӦÖúÖ¸Êý +1
Ò¦Äàöú: ½ð±Ò+10, ¡ï¡ï¡ïºÜÓаïÖú 2015-02-27 21:10:08
¸Ðл²ÎÓ룬ӦÖúÖ¸Êý +1
Ò¦Äàöú: ½ð±Ò+10, ¡ï¡ï¡ïºÜÓаïÖú 2015-02-27 21:10:08
|
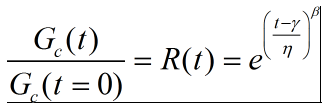
ËùÖ^¡¸¿É¿¿¶È¡¹£¨Reliability£©£¬‚SÖ¸¡¸Ä³Ò»Ïµ½yŒ¢ì¶Ö¸¶¨µÄʹÓÕrég£¬°´ÆäÔO¶¨°l“]Ô“Óй¦ÄܵęCÂÊ¡£¡¹ ß@¼ƒ´âÊǸù“þ¿É¿¿¶ÈµÄ¶¨ÁxÊÇÁгö´Ëʽ£¬Ò²ÊǾÍÊÇÕf®”t=0µÄ•rºò£¬ß@‚€®aÆ·°l“]¹¦ÄܵęCÂÊÊÇ1£¬ëSááígÐÔϽµ£¬Ä܉ò°l“]Õý³£¹¦ÄܵęCÂʾ͕þϽµ£¬ÄǾÍÓÃÉígÐÔÖµ?í×ö±ÈÂÊ£¬®”×îááµÄ•rºòígÐÔÖµžé0•r£¬®aÆ·¾ÍŸo·¨Ê¹Óã¬Æä¿ÉÐŶȾ͞é0£¬ß@Ö»ÊǸù“þ¿ÉÐŶȵ͍Áx£¬ÅcÁ¦ŒWŸoêP¡£Ò²¾ÍÊÇÕfÄãÈçºÎÈ¥±íʾ²ÄÁÏígÐÔϽµ•r£¬®aƷ߀ÄÜÕý³£Ê¹ÓõęCÂÊ¡£ |
2Â¥2015-02-27 20:06:52
Ò¦Äàöú
ľ³æ (СÓÐÃûÆø)
- Ó¦Öú: 2 (Ó×¶ùÔ°)
- ½ð±Ò: 796.4
- É¢½ð: 10
- Ìû×Ó: 150
- ÔÚÏß: 116.9Сʱ
- ³æºÅ: 3381506
- ×¢²á: 2014-08-22
- ÐÔ±ð: GG
- רҵ: ½¨Öþ»·¾³Óë½á¹¹¹¤³Ì
|
Ê®·Ö¸ÐлÄ㼰ʱµÄ»Ø¸´£¡Äã˵µÄÒâ˼ÎұȽÏÄÜÀí½â£¬tʱ¿Ì¶ÏÁÑÈÍÐÔÓë0ʱ¿ÌµÄ±ÈÖµµÄÈ·Ò»¶¨³Ì¶ÈÉÏ·´Ó³ÁËÕý³£¹¤×÷µÄ¼¸ÂÊ£¬0ʱ¿ÌÕý³£¹¤×÷µÄ¼¸ÂÊÊÇ1£¬Õâ¸ö±ÈÖµÔ½´ó£¬¼¸ÂÊÔ½´ó£¬±ÈֵԽС£¬¼¸ÂÊԽС¡£µ«ÊÇ´ÓÑϸñµÄ¿É¿¿ÐÔRµÄ¶¨ÒåÀ´Ëµ£¬ÕâÁ½ÕßËÆºõ²»ÄܵÈͬ£¬Ö»ÄÜ˵Õâ¸ö±ÈÖµÓëRÊÇÕýÏà¹ØµÄ£¬¸Ð¾õ²»ÄÜ»®µÈºÅ¡£Âé·³Äã°ïÖúÎÒ½â³ýÒÉ»ó£¬Ì«¸ÐлÁË£¡ [ ·¢×ÔÊÖ»ú°æ http://muchong.com/3g ] |

3Â¥2015-02-27 20:56:30
dickliu7
Ìú¸Ëľ³æ (ÖøÃûдÊÖ)
- MM-EPI: 1
- Ó¦Öú: 559 (²©Ê¿)
- ½ð±Ò: 6177.4
- ºì»¨: 82
- Ìû×Ó: 1139
- ÔÚÏß: 299.5Сʱ
- ³æºÅ: 1651509
- ×¢²á: 2012-02-28
- רҵ: ½ðÊô½á¹¹²ÄÁÏ
¡¾´ð°¸¡¿Ó¦Öú»ØÌû
¡ï ¡ï ¡ï ¡ï ¡ï ¡ï ¡ï ¡ï ¡ï ¡ï
Ò¦Äàöú: ½ð±Ò+10, ¡ï¡ï¡ï¡ï¡ï×î¼Ñ´ð°¸ 2015-02-27 22:22:25
Ò¦Äàöú: ½ð±Ò+10, ¡ï¡ï¡ï¡ï¡ï×î¼Ñ´ð°¸ 2015-02-27 22:22:25
|
ÎÒÖ»ÄÜß@˜ÓÖv£¬?͍ÁxÉÏ?íÖv£¬ËûµÄ¹«Ê½ÁеÄÊÇOKµÄ£¬µ«ÊÇŒ?ÓÃÉÏÊÇÓдýÉÌȶµÄ£¬ÁíÍâÓÐЩpaper²»×öһЩÑ}ësµÄʽ×ÓÓ‹Ë㣬¿´Æð?íŒWÐg³Ì¶È¾ÍÆ«µÍ¡£ RµÄ¶¨ÁxÊǽyÓ‹»òÊÇÆ·¹ÜŒWÐgÓ‘Õ“£¬®”È»²»ÄÜÄÃ?í×öÔOÓ‹•rµÄ°²È«‚S”µ¿¼Á¿£¬Òòžé®”ígÐÔϽµµ½Ò»°ë•r£¬‰ÛÃüÔõ¿ÉÄÜÊǽµÒ»°ëÄØ? ËùÒÔÎÒÕfËûÅcÁ¦ŒWÒ»ücêP‚S¶¼›]ÓС£ÓÐÓÃÒ»üc‘ªÔ“ÊÇÕÒ‰ÛÃüº¯”µ£¬È»ááÓÉÛÃüº¯”µ?íÇóR£¬ÎÒ‚ƒÒ»˜Ó¿ÉÒÔ¸ù“þRµÄ¶¨Áx?íÁÐʽÇóµÃÒ»‚€R¡£µ«ÊÇÈç¹ûÎÒÊÇ×öígÐԵĕrºò£¬Ö»ºÃÒÔígÐÔº¯”µ?íÇóR£¬ß@®”È»¿ÉÒÔßBÉϵÈÌ–£¬ÄãÒªÌøÃ“Á¦ŒWÅc‰ÛÃüµÄ¸ÅÄî¡£ |
4Â¥2015-02-27 21:53:25
Ò¦Äàöú
ľ³æ (СÓÐÃûÆø)
- Ó¦Öú: 2 (Ó×¶ùÔ°)
- ½ð±Ò: 796.4
- É¢½ð: 10
- Ìû×Ó: 150
- ÔÚÏß: 116.9Сʱ
- ³æºÅ: 3381506
- ×¢²á: 2014-08-22
- ÐÔ±ð: GG
- רҵ: ½¨Öþ»·¾³Óë½á¹¹¹¤³Ì

5Â¥2015-02-27 22:06:23
dickliu7
Ìú¸Ëľ³æ (ÖøÃûдÊÖ)
- MM-EPI: 1
- Ó¦Öú: 559 (²©Ê¿)
- ½ð±Ò: 6177.4
- ºì»¨: 82
- Ìû×Ó: 1139
- ÔÚÏß: 299.5Сʱ
- ³æºÅ: 1651509
- ×¢²á: 2012-02-28
- רҵ: ½ðÊô½á¹¹²ÄÁÏ
6Â¥2015-02-27 22:12:10
Ò¦Äàöú
ľ³æ (СÓÐÃûÆø)
- Ó¦Öú: 2 (Ó×¶ùÔ°)
- ½ð±Ò: 796.4
- É¢½ð: 10
- Ìû×Ó: 150
- ÔÚÏß: 116.9Сʱ
- ³æºÅ: 3381506
- ×¢²á: 2014-08-22
- ÐÔ±ð: GG
- רҵ: ½¨Öþ»·¾³Óë½á¹¹¹¤³Ì

7Â¥2015-02-27 22:20:45













»Ø¸´´ËÂ¥
Ò¦Äàöú