| 查看: 3053 | 回复: 9 | ||
[求助]
电滞回线很奇怪...... 已有2人参与
|
|
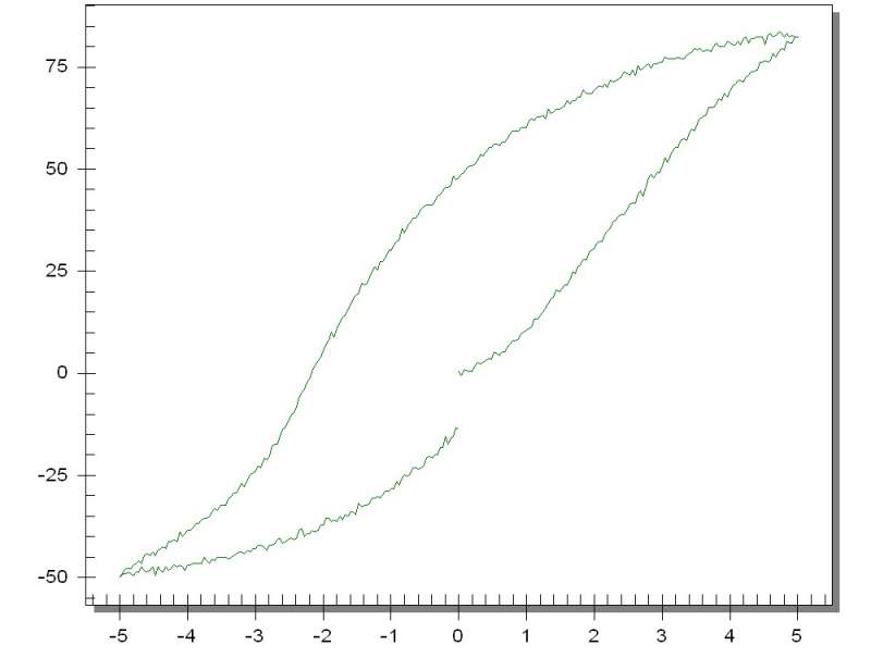
sol-gel方法制备pzt薄膜,测出电滞回线在Y轴方向上下不对称,如图看到,回线顶部达到75而底部就只有50.顺便请问一下,材料的漏电流过大是因为什么?跟晶粒的大小会有关系吗? P6-PE-5V.jpg |
» 猜你喜欢
277求调剂 数一104分
已经有12人回复
复试调剂
已经有14人回复
307求调剂
已经有8人回复
材料工程302分求调剂
已经有10人回复
材料考研求调剂总分280
已经有14人回复
工科 22408 267求推荐
已经有5人回复
环境专硕调剂
已经有5人回复
287分求调剂 有专利国奖一志愿哈工大085406
已经有7人回复
080500求调剂
已经有9人回复
求调剂
已经有5人回复
» 本主题相关商家推荐: (我也要在这里推广)
» 本主题相关价值贴推荐,对您同样有帮助:
纯金属溅射靶电压提不上来怎么回事
已经有11人回复
一个关于铁电薄膜极化翻转的问题
已经有7人回复
磁滞回线不饱和
已经有21人回复
求助磁滞回线分析,急!!!
已经有3人回复
请高手帮忙看一下这两条磁滞回线的出现的问题
已经有3人回复
求助有关磁滞回线出现直线的现象
已经有9人回复
加入顺电性的物质对介电常数的影响
已经有5人回复
为什么损耗和电滞回线会这样
已经有10人回复
测量频率对电滞回线测试的影响
已经有3人回复
电滞回线疑问?
已经有14人回复
请教关于陶瓷信的问题!
已经有4人回复
关于电滞回线?
已经有13人回复
压电陶瓷极化碰到的问题【求助】
已经有19人回复
【请教】初学者请教各位一个关于PFM测铁电电畴的问题
已经有6人回复
【求助】铁电电滞回线测试中 单极(unipolar)和双极(bipolar)测试区别
已经有12人回复
【讨论】电滞回线不闭合的原因
已经有12人回复
【求助】电滞回线的测量问题
已经有7人回复
【讨论】请教正交、四方结构铁电体的电畴有什么区别?
已经有18人回复
【求助】铁电材料电滞回线求助
已经有12人回复
【讨论】请问压电陶瓷在居里温度以上热处理后,又在室温下测电滞回线有什么意义吗?
已经有13人回复
【求助】介电常数为何在居里温度处最大,而极化强度在居里温度却为零
已经有3人回复

cj311
金虫 (小有名气)
- 应助: 3 (幼儿园)
- 金币: 1246.8
- 红花: 3
- 帖子: 253
- 在线: 130小时
- 虫号: 1068422
- 注册: 2010-08-03
- 性别: MM
- 专业: 凝聚态物性 II :电子结构
2楼2015-01-07 23:20:42
lzh_laubert
银虫 (正式写手)
- 应助: 74 (初中生)
- 金币: 1473
- 红花: 11
- 帖子: 372
- 在线: 214.5小时
- 虫号: 2366015
- 注册: 2013-03-21
- 专业: 无机非金属类电介质与电解
3楼2015-01-08 00:28:59

4楼2015-01-08 09:25:48

5楼2015-01-08 09:54:14
6楼2015-01-09 11:10:21
7楼2015-05-26 20:50:30

8楼2015-05-27 20:04:36
9楼2018-10-23 20:29:22
sketchplane
新虫 (小有名气)
- 应助: 0 (幼儿园)
- 金币: 110.9
- 散金: 23
- 帖子: 92
- 在线: 6.6小时
- 虫号: 7524881
- 注册: 2017-11-25
- 专业: 光子与光电子器件
10楼2019-04-09 10:10:57














回复此楼