| ²é¿´: 5360 | »Ø¸´: 35 | ||||
racoon01ר¼Ò¹ËÎÊ (ÖøÃûдÊÖ)
|
[½»Á÷]
ÁÄÒ»ÁÄ·¶ºéÒå½ÌÊÚºÍËûµÄËã·û ÒÑÓÐ17È˲ÎÓë
|
|||
» ±¾Ö÷ÌâÏà¹Ø¼ÛÖµÌùÍÆ¼ö£¬¶ÔÄúͬÑùÓаïÖú:
¡¾ÇóÖú¡¿ÈçºÎÓüò½àµÄÓïÑÔ½âÊͱ¾Õ÷̬
ÒѾÓÐ28È˻ظ´

zhengyongyb
½ð³æ (ÕýʽдÊÖ)
- Ó¦Öú: 44 (СѧÉú)
- ½ð±Ò: 179.6
- ºì»¨: 3
- Ìû×Ó: 349
- ÔÚÏß: 144.8Сʱ
- ³æºÅ: 1187369
- ×¢²á: 2011-01-11
- ÐÔ±ð: GG
- רҵ: Äý¾Û̬ÎïÐÔ II £ºµç×ӽṹ
4Â¥2015-01-03 12:23:56
FreeMind2011
Ìú¸Ëľ³æ (СÓÐÃûÆø)
- Ó¦Öú: 5 (Ó×¶ùÔ°)
- ½ð±Ò: 5636.9
- ºì»¨: 4
- Ìû×Ó: 149
- ÔÚÏß: 346.5Сʱ
- ³æºÅ: 1533530
- ×¢²á: 2011-12-12
- רҵ: Á£×ÓÎïÀíѧºÍ³¡ÂÛ
¡ï
Сľ³æ: ½ð±Ò+0.5, ¸ø¸öºì°ü£¬Ð»Ð»»ØÌû
Сľ³æ: ½ð±Ò+0.5, ¸ø¸öºì°ü£¬Ð»Ð»»ØÌû
|
Ëæ±ã¸ø±ðÈȨ̈¸ßÁ˵ijƺţ¬Êµ¼ÊÖ»ÄÜÆðµ½¡°ºÚ¡±µÄ×÷Óᣠ±ðµÄ²»ÖªµÀ£¬Ö»ÖªµÀÎÒÃÇɽկÍâ¹úºÜ¶à¾«Æ·£¬´ó¶à²»ºÏ¸ñ£¡ |
8Â¥2015-01-03 15:01:28
racoon01
ר¼Ò¹ËÎÊ (ÖøÃûдÊÖ)
-

ר¼Ò¾Ñé: +213 - ÎïÀíEPI: 25
- Ó¦Öú: 212 (´óѧÉú)
- ½ð±Ò: 24355.2
- É¢½ð: 27
- ºì»¨: 71
- Ìû×Ó: 2438
- ÔÚÏß: 643.2Сʱ
- ³æºÅ: 1282452
- ×¢²á: 2011-05-01
- רҵ: Öйú½ü´úÊ·¡¢ÏÖ´úÊ·
- ¹ÜϽ: ÎïÀí
|
ллÄú·¢À´µÄµç×ÓÊé¡£ÊܽÌÁË£¬È·ÊµÎÒ¶Ô·¶ÏÈÉúµÄÎÊÌâÀí½âÆ«ÁË. ÕýÈ·µÄÀí½âÓ¦¸ÃÊÇ£ºÈçºÎÀûÓòúÉú¡¢äÎÃðËã·û½«\hat{\mathscr{M}}±í´ï³öÀ´£¿ ÈçºÎ·¶ÀÏʦµ±³õÕâôÎʵϰ£¬»òÐíÎÒ¿ÉÒÔÉÙ×ßЩÍä·¡£ÔٴθÐлÄú¡£ |
» ±¾ÌûÒÑ»ñµÃµÄºì»¨£¨×îÐÂ10¶ä£©

26Â¥2015-01-04 23:38:57
racoon01
ר¼Ò¹ËÎÊ (ÖøÃûдÊÖ)
-

ר¼Ò¾Ñé: +213 - ÎïÀíEPI: 25
- Ó¦Öú: 212 (´óѧÉú)
- ½ð±Ò: 24355.2
- É¢½ð: 27
- ºì»¨: 71
- Ìû×Ó: 2438
- ÔÚÏß: 643.2Сʱ
- ³æºÅ: 1282452
- ×¢²á: 2011-05-01
- רҵ: Öйú½ü´úÊ·¡¢ÏÖ´úÊ·
- ¹ÜϽ: ÎïÀí
|
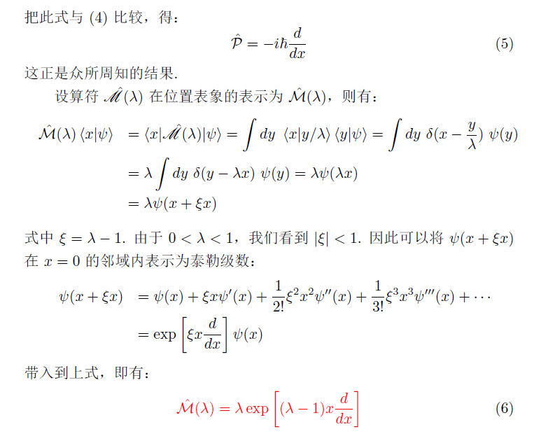
ÄǸö¼¶ÊýûÓÐͨ¹ýÊ¡ÂÔxi iµÄ¸ß´ÎÃݶø±ä³É¶àÏîʽ£¬Òò´ËÊÇÑϸñµÄ£¬²¢Ã»ÓÐʲôÎïÀíѧ¼ÒÒâÒåϵIJ»ÑϽ÷¡£|xi|<1ÒѾ×ãÒÔ±£Ö¤¼¶ÊýÊÕÁ²ÁË£¬µ±È»xi ¿¿½ü1ʱ¼¶ÊýÊÕÁ²µÄºÜÂý¡£ |

7Â¥2015-01-03 12:50:51
ÈηÉÓð
Ìú¸Ëľ³æ (ÖøÃûдÊÖ)
- Ó¦Öú: 2 (Ó×¶ùÔ°)
- ½ð±Ò: 8325
- É¢½ð: 1291
- ºì»¨: 20
- Ìû×Ó: 1552
- ÔÚÏß: 461.5Сʱ
- ³æºÅ: 693999
- ×¢²á: 2009-01-18
- רҵ: ¹âѧ
¡ï
Сľ³æ: ½ð±Ò+0.5, ¸ø¸öºì°ü£¬Ð»Ð»»ØÌû
Сľ³æ: ½ð±Ò+0.5, ¸ø¸öºì°ü£¬Ð»Ð»»ØÌû
Â¥Ö÷ÎÊÌâ»Ø´ðµÄ²»×¼È· £¬²»ÖªÊÇ·ñ¿´¹ý·¶ÏÈÉúµÄÊé £¿ |
9Â¥2015-01-03 15:20:56
walk1997
½ð³æ (ÖøÃûдÊÖ)
- ÎïÀíEPI: 1
- Ó¦Öú: 1 (Ó×¶ùÔ°)
- ½ð±Ò: 4676.2
- ºì»¨: 22
- Ìû×Ó: 1066
- ÔÚÏß: 798.1Сʱ
- ³æºÅ: 416039
- ×¢²á: 2007-06-29
- ÐÔ±ð: GG
- רҵ: Á£×ÓÎïÀíѧºÍ³¡ÂÛ
¡ï
Сľ³æ: ½ð±Ò+0.5, ¸ø¸öºì°ü£¬Ð»Ð»»ØÌû
Сľ³æ: ½ð±Ò+0.5, ¸ø¸öºì°ü£¬Ð»Ð»»ØÌû
|
ÍâÐÐϹ³¶¼¸¾ä£¬»òÕß˵ÊÇϹÌἸ¸öÎÊÌâ 1. Õâ¸öËã·û»òÕß˵¾ØÕó£ºÊǶòÃÜ»¹ÊÇçÛÕý?£¬ÒÖ»òÊÇÓÐÏà¹ØµÄÐÔÖÊ, »òÕß¶¼²»ÊÇ. Èç¹û²»ÊÇ£¬ÄÇÆäÎïÀíÒâÒåÊÇʲô£¿»òÕßËµÕæÓÐʲôÎïÀíÒâÒå¡£ 2. ¹ØÓÚEq.3ÏÂÃæµÄÂÛ¶Ï£¬ËµÕâ¸öËã·ûÊÇHilbert ¿Õ¼äµÄÅòÕÍËã×ÓÖ®ÀàµÄ£¬ÎÒÓиöÒÉÎÊ£º Ò»°ãÇé¿öÏ£¬ÎÒÃÇÊÇÏÈÌÖÂÛʱ¿ÕÁ¿µÄ±ä»»¹ØÏµ£¬Õâ¸öʱºòÓÐÆ½ÒÆ£¬×ª¶¯£¬ÒÔ¼°±ê¶È±ä»»µÈ£¬ ÔÚÁ¿×ÓÁ¦Ñ§ÖУ¬ÒòΪÓйéÒ»»¯£¬ËùÒÔÕâ¸ö±ê¶È±ä»»¶ÔÓ¦µ½ÁËÏàλ±ä»»£¬ÄÜ·ñ²ûÃ÷ÏÂHilert¿Õ¼äÖжÔ̬±¾ÉíÖ±½Ó×ö¸ö ÅòÕÍʲôµÄ ºÍʱ¿ÕµÄ±ê¶È±ä»»ÓÐʲô¸ü»ù±¾µÄ¹ØÁª£¿Èç¹ûûÓÐ..... 3. Õâ¸öÕâÑù¹¹Ôì³öÀ´µÄËã·û£¬°´¸öÈËÀí½â£¬ÆäʵÈç¹ûÈ¡lamda=e^{i\phi} ÆäÎïÀíÒâÒå²Å±È½ÏÖ±½ÓÃ÷ÏÔ(»òÕß˵²ÅÕæÓÐÎïÀíÒâÒå)£¬Æäʵ¾ÍÊÇÒ»¸öµ¥Î»¾ØÕó³ËÒÔÒ»¸öÏà룬½øÒ»²½µÄ£¬Õâ¸ölamdaÈ¡¸´Êýʱ»¹¿ÉÒÔÊÇxµÄº¯Êý(localµÄÏàλ)£¬ÔÚÕâÖÖÇé¿öÏ£¬Õâ¸ö¾ØÕóÊÇçÛÕýµÄ£¬²»¾ÍÊÇ×î³£¼ûµÄU(1)ô? 4. ÀàËÆ·¶½ÌÊÚÕâÑùµÄ×ö·¨£¬¸öÈ˸оõ´ó¼ÒÒ²¿ÉÒÔÄ£·Â£¬±ÈÈç¹¹ÔìÒ»¸ö¾ØÕó ¾ÍËµÆ½ÒÆ°É ·ÇÒª¶¨ÒåÒ»¸öÀàËÆËã·û P(lamda): x->x'=x+I*\lamda, Õâ¸ö¸´µÄʱ¿Õ±ä»»ÓÕµ¼³öÀ´µÄÔÚHilert¿Õ¼äÒ²Óиö¶ÔÓ¦Ëã·û£¬ËüµÄÐÎʽ֮ÀàµÄ¶¼¿ÉÒÔÌÖÂÛ£¬²»¹ý¸öÈ˸оõÕâÖÖÌÖÂÛÔÝʱ»¹ÊÇ´¿ÊýѧÐÎʽµÄ£¬ÎÞ¶àÉÙµÄÎïÀí¹Û²â¶ÔÓ¦¡£ (ÔÚ³¬¶Ô³ÆÖÐÒýÈ볬¿Õ¼äºó¿ÉÄÜÓÐЩӦÓðɡ£) |
19Â¥2015-01-04 16:41:44
wangww2011
ľ³æ (ÖøÃûдÊÖ)
- Ó¦Öú: 11 (СѧÉú)
- ½ð±Ò: 4023.1
- É¢½ð: 2709
- ºì»¨: 18
- ɳ·¢: 1
- Ìû×Ó: 1915
- ÔÚÏß: 1537.1Сʱ
- ³æºÅ: 772953
- ×¢²á: 2009-05-17
- ÐÔ±ð: GG
- רҵ: Äý¾Û̬ÎïÐÔ II £ºµç×ӽṹ
2Â¥2015-01-03 11:34:57
fyl7
Ìú¸Ëľ³æ (ÕýʽдÊÖ)
- Ó¦Öú: 40 (СѧÉú)
- ½ð±Ò: 15389.2
- ºì»¨: 10
- Ìû×Ó: 882
- ÔÚÏß: 76.2Сʱ
- ³æºÅ: 448055
- ×¢²á: 2007-11-01
- ÐÔ±ð: GG
- רҵ: ÀíÂÛÎïÀí
¡ï
Сľ³æ: ½ð±Ò+0.5, ¸ø¸öºì°ü£¬Ð»Ð»»ØÌû
Сľ³æ: ½ð±Ò+0.5, ¸ø¸öºì°ü£¬Ð»Ð»»ØÌû
| ¸öÈ˾õµÃ£¬ÄãµÃµ½6ʽµÄÌ©ÀÕÕ¹¿ª²»ÑϽ÷£¬ÒòΪ¦ÎxÏà¶ÔÓÚxÀ´Ëµ£¬²¢²»ÊǺÜСµÄÁ¿¡£Êµ¼ÊÉ϶þÕß½ö½öÏà²îÒ»¸ö³ß¶È£¬Õâ¸ö³ß¶È¿ÉÒÔÎÞÇîС£¨¦Î½Ó½ü0£©£¬Ò²¿ÉÒÔ½Ó½ü1£¨¦Î½Ó½ü1£©¡£ÔÚ½Ó½ü1ʱ£¬Ì©ÀÕÕ¹¿ª²»ÊÊÓá£Òò´Ë£¬Ö»±£Áôµ½¦Ë¦×(¦Ëx)¾Í¿ÉÒÔÁË¡£µ±È»£¬¿ÉÒÔ¼ÙÉèÒ»¸öÎÞÇîСµÄÊÕËõ£¬¼´¦Ë½Ó½ü1£¬¶ø¦Î½Ó½ü0£¬´Ëʱ̩ÀÕÕ¹¿ªÊ½ÊÊÓᣠ|
3Â¥2015-01-03 12:09:48
racoon01
ר¼Ò¹ËÎÊ (ÖøÃûдÊÖ)
-

ר¼Ò¾Ñé: +213 - ÎïÀíEPI: 25
- Ó¦Öú: 212 (´óѧÉú)
- ½ð±Ò: 24355.2
- É¢½ð: 27
- ºì»¨: 71
- Ìû×Ó: 2438
- ÔÚÏß: 643.2Сʱ
- ³æºÅ: 1282452
- ×¢²á: 2011-05-01
- רҵ: Öйú½ü´úÊ·¡¢ÏÖ´úÊ·
- ¹ÜϽ: ÎïÀí

5Â¥2015-01-03 12:45:03
racoon01
ר¼Ò¹ËÎÊ (ÖøÃûдÊÖ)
-

ר¼Ò¾Ñé: +213 - ÎïÀíEPI: 25
- Ó¦Öú: 212 (´óѧÉú)
- ½ð±Ò: 24355.2
- É¢½ð: 27
- ºì»¨: 71
- Ìû×Ó: 2438
- ÔÚÏß: 643.2Сʱ
- ³æºÅ: 1282452
- ×¢²á: 2011-05-01
- רҵ: Öйú½ü´úÊ·¡¢ÏÖ´úÊ·
- ¹ÜϽ: ÎïÀí

6Â¥2015-01-03 12:46:10
racoon01
ר¼Ò¹ËÎÊ (ÖøÃûдÊÖ)
-

ר¼Ò¾Ñé: +213 - ÎïÀíEPI: 25
- Ó¦Öú: 212 (´óѧÉú)
- ½ð±Ò: 24355.2
- É¢½ð: 27
- ºì»¨: 71
- Ìû×Ó: 2438
- ÔÚÏß: 643.2Сʱ
- ³æºÅ: 1282452
- ×¢²á: 2011-05-01
- רҵ: Öйú½ü´úÊ·¡¢ÏÖ´úÊ·
- ¹ÜϽ: ÎïÀí

10Â¥2015-01-03 16:07:33













»Ø¸´´ËÂ¥
ÈηÉÓð
£¬²»ÖªÊÇ·ñ¿´¹ý·¶ÏÈÉúµÄÊé
£¿