版块导航
正在加载中...
客户端APP下载
论文辅导
调剂小程序
登录
注册
帖子
帖子
用户
本版
应《网络安全法》要求,自2017年10月1日起,未进行实名认证将不得使用互联网跟帖服务。为保障您的帐号能够正常使用,请尽快对帐号进行手机号验证,感谢您的理解与支持!
24小时热门版块排行榜
>
论坛更新日志
(2457)
>
虫友互识
(194)
>
导师招生
(134)
>
文献求助
(103)
>
休闲灌水
(70)
>
硕博家园
(53)
>
考研
(42)
>
论文投稿
(40)
>
考博
(35)
>
基金申请
(31)
>
博后之家
(22)
>
无机非金属
(22)
>
找工作
(21)
>
教师之家
(19)
>
公派出国
(18)
>
招聘信息布告栏
(16)
小木虫论坛-学术科研互动平台
»
材料区
»
金属
»
交流互助
»
origin中压缩曲线的弹性变形阶段如何进行直线拟合
3
1/1
返回列表
查看: 2438 | 回复: 2
只看楼主
@他人
存档
新回复提醒
(忽略)
收藏
在APP中查看
金属达人
铜虫
(小有名气)
应助: 0
(幼儿园)
金币: 842
散金: 10
红花: 4
帖子: 167
在线: 29.3小时
虫号: 3046906
注册: 2014-03-13
性别: GG
专业: 金属非晶态、准晶和纳米晶
[
求助
]
origin中压缩曲线的弹性变形阶段如何进行直线拟合
已有2人参与
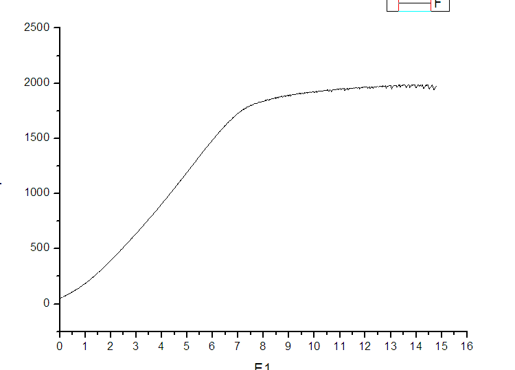
求大神指点。我的压缩曲线是这样的~~
1.png
回复此楼
» 猜你喜欢
【博士招生】太原理工大学2026化工博士
已经有8人回复
280求调剂
已经有4人回复
面上可以超过30页吧?
已经有12人回复
什么是人一生最重要的?
已经有6人回复
为什么中国大学工科教授们水了那么多所谓的顶会顶刊,但还是做不出宇树机器人?
已经有11人回复
网上报道青年教师午睡中猝死、熬夜猝死的越来越多,主要哪些原因引起的?
已经有9人回复
版面费该交吗
已经有15人回复
体制内长辈说体制内绝大部分一辈子在底层,如同你们一样大部分普通教师忙且收入低
已经有18人回复
» 本主题相关价值贴推荐,对您同样有帮助:
origin8 拟合曲线图问题求助
已经有11人回复
origin画图,直线拟合,最后拷贝图到word里,发现不直
已经有6人回复
请问origin怎么拟合这种曲线?
已经有7人回复
如何用origin进行拟合
已经有4人回复
在origin中画好的曲线上选部分数据进行拟合
已经有7人回复
求助origin线性拟合的问题
已经有9人回复
origin拟合langmuir和freundlich方程为什么曲线出来的是直线啊
已经有15人回复
origin怎么样进行多项式拟合
已经有2人回复
在用origin进行非线性拟合怎样去选择拟合函数?
已经有6人回复
求助origin曲线拟合的一个问题
已经有6人回复
用origin做曲线拟合,adj.R2多少时算是拟合良好
已经有5人回复
用origin8对生长曲线进行拟合,求比生长速率?
已经有4人回复
求助怎样通过ORIGIN做出的拟合曲线计算半衰期
已经有7人回复
如何用origin进行非线性拟合?
已经有9人回复
问一下origin作图里面有几个数据点拟合直线求和Y轴交点如何做
已经有9人回复
origin 直线拟合后的两个小问题
已经有12人回复
origin进行非线性拟合如何选择函数或者自定义合适的函数
已经有19人回复
origin中如何拟合该实验结果的曲线?
已经有8人回复
origin多组数据如何用一条曲线拟合
已经有11人回复
【求助】如何用origin拟合曲线并求曲线下面积
已经有13人回复
有关origin曲线拟合的问题
已经有7人回复
【求助】origin作曲线,怎么做趋势拟合
已经有10人回复
菜鸟在前进
1楼
2014-12-16 17:44:50
已阅
回复此楼
关注TA
给TA发消息
送TA红花
TA的回帖
remex
金虫
(著名写手)
应助: 9
(幼儿园)
金币: 1140.3
散金: 53
红花: 2
帖子: 1584
在线: 603.7小时
虫号: 598892
注册: 2008-09-11
性别: GG
专业: 交叉学科中的光学问题
【答案】应助回帖
感谢参与,应助指数 +1
选取这一段数据拟合啊,origin可以选取待拟合数据范围的,多年没用,在哪菜单忘了
[ 发自手机版 http://muchong.com/3g ]
赞
一下
回复此楼
我不会再爱你
2楼
2014-12-17 07:59:58
已阅
回复此楼
关注TA
给TA发消息
送TA红花
TA的回帖
phoenix7573
金虫
(著名写手)
MM-EPI: 1
应助: 231
(大学生)
金币: 2224.2
散金: 4
红花: 35
帖子: 1108
在线: 484小时
虫号: 716092
注册: 2009-03-06
专业: 金属材料的力学行为
【答案】应助回帖
感谢参与,应助指数 +1
在Fitting下面有个 Linear。。。。。请去找本Origin说明书,度娘家有一大把
赞
一下
回复此楼
3楼
2014-12-17 09:50:11
已阅
回复此楼
关注TA
给TA发消息
送TA红花
TA的回帖
相关版块跳转
材料综合
材料工程
微米和纳米
晶体
金属
无机非金属
生物材料
功能材料
复合材料
我要订阅楼主
金属达人
的主题更新
3
1/1
返回列表
如果回帖内容含有宣传信息,请如实选中。否则帐号将被全论坛禁言
普通表情
龙
兔
虎
猫
百度网盘
|
360云盘
|
千易网盘
|
华为网盘
在新窗口页面中打开自己喜欢的网盘网站,将文件上传后,然后将下载链接复制到帖子内容中就可以了。
信息提示
关闭
请填处理意见
关闭
确定