| 查看: 1607 | 回复: 7 | ||
1.414木虫 (正式写手)
入门
|
[求助]
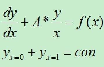
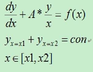
matlab 边界问题
|
|
![]() |
||
|
|
||
dingd铁杆木虫 (职业作家)
|
||
|
2楼2014-12-16 19:40:48
|
|
|
【答案】应助回帖
★ ★ ★ ★ ★ ★ ★ ★ ★ ★ ★ ★
感谢参与,应助指数 +1 1.414: 金币+7, ★★★很有帮助 2014-12-17 12:48:48 1.414: 金币+5, ★★★很有帮助, 谢谢了。 2014-12-17 16:46:42
|
||
![]() |
||
|
3楼2014-12-17 09:26:02
|
|
|
1.414木虫 (正式写手)
入门
|
||
![]() |
||
|
4楼2014-12-17 12:46:50
|
|
|
1.414木虫 (正式写手)
入门
|
||
![]() |
||
|
5楼2014-12-17 14:23:14
|
|
|
![]() |
||
|
6楼2014-12-17 16:18:31
|
|
|
1.414木虫 (正式写手)
入门
|
||
![]() |
||
|
7楼2014-12-17 16:43:52
|
|
|
小吴smallwu木虫 (小有名气)
|
||
![]() |
||
|
8楼2014-12-17 18:42:42
|
|













回复此楼