| ²é¿´: 1296 | »Ø¸´: 6 | ||||
amenbossÌú³æ (³õÈëÎÄ̳)
|
[½»Á÷]
Çó¸ßÊÖÏàÖú£¡matlabÇó·´Ó¦¶¯Á¦Ñ§Ä£ÐͲÎÊý ÒÑÓÐ2È˲ÎÓë
|
» ±¾Ö÷ÌâÏà¹Ø¼ÛÖµÌùÍÆ¼ö£¬¶ÔÄúͬÑùÓаïÖú:
ʹÓÃMATLABÄâºÏ¶¯Á¦Ñ§²ÎÊýÎÊÌâ
ÒѾÓÐ18È˻ظ´
matlabÇóȡѻ·ÖÐ×î´óÖµ¶ÔÓ¦µÄ²ÎÊýÖµ
ÒѾÓÐ12È˻ظ´
ÓÃmatlab£¬·ÇÏßÐÔÄâºÏÁ½¸ö²ÎÊýÖ®¼äµÄÊýÁ¿¼¶²î¾à±È½Ï´ó£¬²ÎÊýÔõôÉèÖÃÈ¨ÖØ£¿
ÒѾÓÐ8È˻ظ´
ÏëÓÃÒÅ´«Ëã·¨Çó½â¶¯Á¦Ñ§²ÎÊý
ÒѾÓÐ13È˻ظ´
ʹÓÃmatlab×îÓÅ»¯·½·¨ÄâºÏ»ñµÃ¶à¸ö¶¯Á¦Ñ§²ÎÊýÖеÄÎÊÌâ
ÒѾÓÐ4È˻ظ´
matlab¶¯Á¦Ñ§Ä£Ðͱà³ÌÇóÖú
ÒѾÓÐ6È˻ظ´
matlabÄâºÏ²ÎÊýÏÔʾ³õʼµãÊÇÒ»¸ö¾Ö²¿×îСֵ
ÒѾÓÐ18È˻ظ´
°ÝÇó£¡matlabÄâºÏ¶¯Á¦Ñ§²ÎÊý
ÒѾÓÐ14È˻ظ´
ÇóÖúÓÃmatlabÄâºÏ¶¯Á¦Ñ§·½³Ì
ÒѾÓÐ9È˻ظ´
ÇóÖúÓÃmatlabÄâºÏ¶¯Á¦Ñ§·½³Ì
ÒѾÓÐ13È˻ظ´
ÓÃmatlabÇó·ÇÏßÐÔ·½³ÌÖжà¸ö²ÎÊýµÄÖµ
ÒѾÓÐ3È˻ظ´
ËÓгÉÊìµÄÇó¶¯Á¦Ñ§²ÎÊýµÄMATLABµÄ³ÌÐò¡£
ÒѾÓÐ11È˻ظ´
¶¯Á¦Ñ§²ÎÊýÄâºÏ
ÒѾÓÐ26È˻ظ´
matlab ÄâºÏ·´Ó¦¶¯Á¦Ñ§²ÎÊý½á¹ûºÜ²î¡£´ó¼Ò°ïæ¿´Ò»ÏÂ
ÒѾÓÐ14È˻ظ´
Çë½Ìmatlab·´Ó¦¶¯Á¦Ñ§²ÎÊý¹À¼ÆÓöµ½µÄÎÊÌ⣬лл
ÒѾÓÐ15È˻ظ´
¼¯×ܶ¯Á¦Ñ§Ä£ÐͼÆËã
ÒѾÓÐ8È˻ظ´
matlab ÇóÖ¸µã ¶¯Á¦Ñ§·½³ÌÄâºÏ¹ý³ÌÖе¼ÊýµÄ»ñÈ¡
ÒѾÓÐ10È˻ظ´
matlabÄâºÏÄâ¾ùÏදÁ¦Ñ§²ÎÊý
ÒѾÓÐ6È˻ظ´
¡¾ÇóÖú¡¿matlab Çó½â΢·Ö·½³ÌÖеÄδ֪²ÎÊý
ÒѾÓÐ20È˻ظ´
¡¾ÇóÖú¡¿ÓÃmatlab×îÓÅ»¯·½·¨½øÐвÎÊýÄâºÏ
ÒѾÓÐ17È˻ظ´
NCBI blast ½á¹ûһЩ²ÎÊýµÄº¬ÒåÇó¸ßÊÖÖ¸µã
ÒѾÓÐ12È˻ظ´
dingd
Ìú¸Ëľ³æ (Ö°Òµ×÷¼Ò)
- ¼ÆËãÇ¿Ìû: 4
- Ó¦Öú: 1641 (½²Ê¦)
- ½ð±Ò: 15037.3
- É¢½ð: 101
- ºì»¨: 234
- Ìû×Ó: 3410
- ÔÚÏß: 1223.7Сʱ
- ³æºÅ: 291104
- ×¢²á: 2006-10-28
2Â¥2014-12-14 13:54:09
ÔÂÖ»À¶
Ö÷¹ÜÇø³¤ (Ö°Òµ×÷¼Ò)
-

ר¼Ò¾Ñé: +1059 - ¼ÆËãÇ¿Ìû: 8
- Ó¦Öú: 1712 (½²Ê¦)
- ¹ó±ö: 8.888
- ½ð±Ò: 68127.7
- É¢½ð: 1938
- ºì»¨: 443
- ɳ·¢: 4
- Ìû×Ó: 4373
- ÔÚÏß: 3291.4Сʱ
- ³æºÅ: 1122189
- ×¢²á: 2010-10-14
- רҵ: ÓîÖæÑ§
- ¹ÜϽ: ¼ÆËãÄ£ÄâÇø
¡ï
Сľ³æ: ½ð±Ò+0.5, ¸ø¸öºì°ü£¬Ð»Ð»»ØÌû
Сľ³æ: ½ð±Ò+0.5, ¸ø¸öºì°ü£¬Ð»Ð»»ØÌû
| 2Â¥µÄ´óÉñÊÇÎÒÃǰæ¿éÇó½âÄãÌá³öÎÊÌâµÄ×îÇ¿Õߣ¬¸ø³öÊý¾Ý°É¡£ |

3Â¥2014-12-14 14:39:41
amenboss
Ìú³æ (³õÈëÎÄ̳)
- Ó¦Öú: 0 (Ó×¶ùÔ°)
- ½ð±Ò: 62
- Ìû×Ó: 36
- ÔÚÏß: 14.4Сʱ
- ³æºÅ: 2509605
- ×¢²á: 2013-06-16
- ÐÔ±ð: GG
- רҵ: »¯Ñ§·´Ó¦¹¤³Ì
|
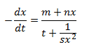
Çó´óÉñ°ï棡 ÎÒµÄÊý¾ÝÊÇÈçÏ£º t x 0 2054.794521 300 1102.499315 600 695.659589 900 406.4431507 1200 198.1123288 1500 121.0650685 2100 72.21986301 2700 60.43630137 3300 44.2869863 3900 31.69109589 4500 26.82808219 5100 22.52260274 m,n,t,sµÄ³õÖµ´óÖÂΪ 314.5833333£¬ 0.328315976£¬ 110.2308769£¬ 2064.86589 ³õÖµ¿ÉÄÜ»áÓгöÈ룬ÎÒÒ²ÊÇ´óÖ¹ÀËãµÄ£¬Ã»ÓÐ׼ȷÊý¾Ý¡£±ÏÒµÂÛÎÄÓöµ½Õâ¸ö²»ÊìϤµÄÁìÓòÕæÊÇÌ«ÄÑÊÜÁË£¬Ï£Íû´óÉñÄܰïæ£¬¸Ð¼¤ÌéÁã°¡£¡£¡ |
4Â¥2014-12-15 16:42:34
dingd
Ìú¸Ëľ³æ (Ö°Òµ×÷¼Ò)
- ¼ÆËãÇ¿Ìû: 4
- Ó¦Öú: 1641 (½²Ê¦)
- ½ð±Ò: 15037.3
- É¢½ð: 101
- ºì»¨: 234
- Ìû×Ó: 3410
- ÔÚÏß: 1223.7Сʱ
- ³æºÅ: 291104
- ×¢²á: 2006-10-28
¡ï
Сľ³æ: ½ð±Ò+0.5, ¸ø¸öºì°ü£¬Ð»Ð»»ØÌû
Сľ³æ: ½ð±Ò+0.5, ¸ø¸öºì°ü£¬Ð»Ð»»ØÌû
5Â¥2014-12-15 16:58:26
amenboss
Ìú³æ (³õÈëÎÄ̳)
- Ó¦Öú: 0 (Ó×¶ùÔ°)
- ½ð±Ò: 62
- Ìû×Ó: 36
- ÔÚÏß: 14.4Сʱ
- ³æºÅ: 2509605
- ×¢²á: 2013-06-16
- ÐÔ±ð: GG
- רҵ: »¯Ñ§·´Ó¦¹¤³Ì
6Â¥2014-12-15 23:03:34
dingd
Ìú¸Ëľ³æ (Ö°Òµ×÷¼Ò)
- ¼ÆËãÇ¿Ìû: 4
- Ó¦Öú: 1641 (½²Ê¦)
- ½ð±Ò: 15037.3
- É¢½ð: 101
- ºì»¨: 234
- Ìû×Ó: 3410
- ÔÚÏß: 1223.7Сʱ
- ³æºÅ: 291104
- ×¢²á: 2006-10-28
7Â¥2014-12-16 09:49:26













»Ø¸´´ËÂ¥
50