| 查看: 8760 | 回复: 35 | |||||||||
| 本帖产生 1 个 PhEPI ,点击这里进行查看 | |||||||||
欲飞无界新虫 (小有名气)
|
[交流]
《读懂天然产物系列》-9-当我和世界不一样已有22人参与
|
||||||||
|
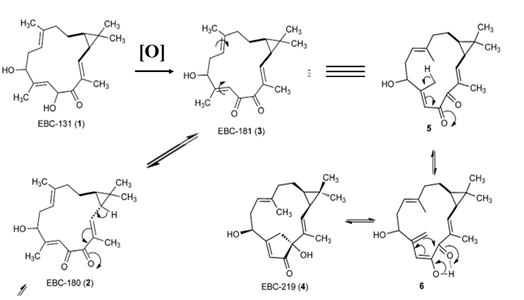
【文献信息】 Maslovskaya, L. A.; Savchenko, A. I.; Krenske, E. H.; Pierce, C. J.; Gordon, V. A.; Reddell, P. W.; Parsons, P. G.; Williams, C. M., EBC-219: A New Diterpene Skeleton, Crotinsulidane, from the Australian Rainforest Containing a Bridgehead Double Bond. Angew Chem Int Ed Engl 2014. 【前言】 世界是物质的,物质是由分子组成的。人之所以为人,是因为我们懂得利用这些分子,创造出建设社会主义和谐社会需要的物质,以实现伟大的中国梦/世界梦。 这些分子,最初是来源于天然产物(动物、植物、微生物、矿物等)。随后,更多由天然化合物修饰或全合成的分子渐渐进入了人们的视野。然而,nature compounds的重要性依旧不容置疑。化合物是死的,人是活的。人之所以为人,是因为我们懂得利用这些分子。将化合物与不同学科结合,便形成了天然药物化学等学科。因此,简单将天然产物化学、植物化学、天然药物化学、中药化学、海洋天然产物化学画上等号,是不妥的。本专题取名《读懂“天然产物”》,为化合物的未来应用创造更多的可能性。在此,我们诚邀各路英雄对我们多多批评指正!力求真正“读懂”每一篇天然产物化学的文献。 天然化合物之所以重要,很大程度上是在于他结构的复杂、多变。因此,发现“不一样”的结构,是天然产物化学主要目的之一。所以,当“我”和世界不一样时,决不能“那就让我不一样”。本文就是关于一篇“不一样”的化合物:一个具有桥头双键的二萜新骨架。 【文章概述】 本文从大戟科植物Croton insulari 中分离得到了四个大环二萜(EBC-1~4),并通过NMR、CD计算等方法确认了化合物结构。其中化合物1-3为已知的卡司烷(Casbane) 型二萜,化合物4具有一个新的三环[11.2.(11,13).0(4,6)]十六烷的骨架类型(小括号中内容为上标),此外,化合物4还具有一个桥头双键。鉴于桥头双键的不稳定性,作者援引Fawcett S Value的概念对化合物4的稳定性进行了一个探讨。此外,作者还推测了化合物1-4的生源途径,并对4个化合物进行了抗肿瘤活性筛选。 【亮点】 1、化合物的结构具有较强的新颖性 本文化合物虽属于二萜,但与一般的五六元环的结构不同,本文的二萜具有一个较大的环系。此外,化合物4还是一个的新骨架类型,并且最为亮点的是,化合物4具有一个桥头双键,是一个anti-Bredt system的结构。这是结构最大的亮点。(Bredt’s rule: Bredt's rule is an empirical observation in organic chemistry that states that a double bond cannot be placed at the bridgehead of a bridged ring system. 援引维基百科) 通常来讲,在桥环化合物中,桥头碳是不能形成双键的,因为桥头双键具有很大的环张力,使得化合物不稳定。当然,事实上,的确有一些,甚至不算太少的化合物也存在桥头双键的结构,如紫杉醇等。本文中,化合物4的桥头双键在一个五元环上,这是目前我找到的几篇文献中,最小的一个环系了,也许我漏查了,但五元环是一个很小的能够承受五元环的环系这点是确定的。(个人认为作者应该点明这一点,而不应该让我去一篇篇找。) 2、化合物4仅有0.94mg 从SI中可以看到,化合物4仅有0.94mg,作者愣是用着0.94mg打了谱、做了CD,还筛了活性,这是非常让我们惊讶的。这件事意味着什么,相信大家都很明白,不再多述。 3、科研的完整性 当我的世界不一样,那就让我不一样吗? 天然化合物的魅力就是超乎人们的想象,对于这一点,化合物4还算给力。然而,超乎想象的东西必将受到质疑。化合物4 is too unique not to question its stability。作者在此借用了Fawcett S Value这个概念(参考文献见附件),对化合物4的稳定性进行了一个探讨。 Fawcett S Value是一个判断桥头双键是否能稳定存在的一个参数,主要是反映环系的大小。假设这个桥环化合物是三环[x,y,z]的环系,那么S=x+y+z。(A term S, detined by S = x+ y + z, is used in discussing the total ring size of a bicyclic system; thus, in bicyclo[3.2.l]octane, S = 3 + 2 + 1 = 6)当S=10时,甚至对于部分化合物,S=9时,化合物的环张力都还是可以承受的,但当S<8时,环张力过大,结构不稳定。具体到化合物4,其S=13,因此作者认为该化合物是可以稳定存在的。 科研的目的是解决问题,而随着一个问题的解决,自然而然的会带来跟多的问题。要解决所有问题是不可能的,但我们要把最核心的问题做一个解释。《读懂天然产物》系列过去几期中,不乏类似的例子。 《读懂天然产物系列》-3- "科研需谨慎,且读且珍惜“ ~~虎皮楠篇~~(http://muchong.com/bbs/viewthread.php?tid=7633320&fpage=1 )作者对分到的二聚体进行了LC-MS验证,确定了该化合物不是人工产物。 《读懂天然产物系列》-4-“变型”金刚:绝迹重生(http://muchong.com/bbs/viewthread.php?tid=7676565&fpage=1 )作者对得到的两个化合物的互变现象进行了研究,发现两个化合物在紫外/可见光的条件下可相互转换。 4、化合物的活性 化合物2、3具有很好的细胞抑制活性,对肿瘤细胞的IC50基本达到了10μM。在天然化合物中是很好的了。且对正常细胞NFF的IC50较大。 5、文章写作技巧 同样的科研工作,不同的人写,会呈现出不同的效果。具体到本文,上述四点固然闪亮,但论文的写作也功不可没。 本文最大的亮点当属“桥头双键”,尤其是它违背Bredt’s rule的这种“反常现象”。作者在论文写作当中,先后4次(除去abstract)提到bridgehead olefin(桥头烯烃)、anti-Bredt rule或类似词语。 第一次,题目:...... Containing a Bridgehead Double Bond 第二次,前言部分:EBC-219 (4), ..., possessing a rare naturally occurring bridgehead olefin (anti-Bredt system) 第三次,结构推导之后,探讨桥头双键稳定性时:The main feature ... creating the double-bond terminus at the bridgehead position (anti-Bredt system). 第四次,总结部分:(4) is a first to class in the rare natural product anti-Bredt arena... 文章反复提及anti-Bredt system,使读者在阅读文献的时候,不由自主的认为Bredt’s rule是《圣经》一样不可违背的,一旦违背就是不得了的事情。这给文章加分不少。自然淡化了“其实有很多化合物也具有桥头双键”这个事实。 此外,作者对Fawcett S value的探讨,也有类似作用。Fawcett S value并不是一个特别具有说服力的一个参数,但是作者花大力气探讨,也达到了“造势”的目的。当然,这只是在说作者的探讨可以有很强的强调作用,并没有否定探讨、认为只是“作秀”的意思。 --------------------------------------------------------- 当然,文章也有些许不完善的地方,主要体现在药理活性测试的部分。首先,文章对IC50的描述不是最常使用的均数±标准差,而仅仅采用了平均数的标示,并且SI中也没有原始数据,使读者对其药理实验的稳定性、可靠性产生了一定的质疑。此外,文章得出了一个化合物“对肿瘤细胞毒性更大”的结论,这仅仅是对IC50进行比较得出的,并没有进行方差分析,这在统计学上是不成立的。最后,该研究没有设置对照组,neither positive control nor negative control,也是不严谨的地方之一。 最后, 本文是关于二萜的一篇论文。通常来讲,二萜是不太容易出好文章的,但本文依旧能在angew上发表,可见,只要自己做的好,nothing is impossible。 【讨论话题】 三人行必有吾师,众人拾柴火焰高。为促进大家的交流,使本文这块“砖”能够引出更多的“玉”,本期《读懂天然产物》设置了两个讨论话题,期待大家的参与。 1、从您的研究领域来看,本文的创新性在哪里?为何能发表在angew上而非OL、四面体等? 2、寻找“不一样”是天然产物化学的核心内容之一,而所有的“不一样”都容易招到质疑。请分享一下您曾经读过的文献,出现过哪些比较有意思的“不一样”的现象?他们是怎么对待这些问题的? 淘帖链接:http://muchong.com/bbs/taotie.php?action=view&ttid=55868 欢迎大家订阅 上一帖链接:《读懂天然产物系列》-8-衣衫渐单(白大衣)终不悔,为伊(+1)消得人憔悴(http://muchong.com/bbs/viewthread.php?tid=7963128&fpage=1 ) 《读懂天然产物系列》开帖篇地址:http://muchong.com/bbs/viewthread.php?tid=7538755&fpage=1 |
» 本帖附件资源列表
-
欢迎监督和反馈:小木虫仅提供交流平台,不对该内容负责。
本内容由用户自主发布,如果其内容涉及到知识产权问题,其责任在于用户本人,如对版权有异议,请联系邮箱:xiaomuchong@tal.com - 附件 1 : EBC-219(桥环烯烃)_Angew_2014.pdf
- 附件 2 : Supporting_Information.pdf
- 附件 3 : 关于Fawcett_S_value的综述-Chem_Rev.pdf
2014-10-16 20:02:06, 704.36 K
2014-10-16 20:02:10, 3.06 M
2014-10-16 20:02:17, 3.07 M
» 收录本帖的淘帖专辑推荐
《读懂天然产物系列》 | 好书!好读! | 偶的 | 专业基础知识 |
技术流 | 读懂天然产物系列 |
» 本帖已获得的红花(最新10朵)
» 猜你喜欢
请问有评职称,把科研教学业绩算分排序的高校吗
已经有6人回复
2025冷门绝学什么时候出结果
已经有6人回复
Bioresource Technology期刊,第一次返修的时候被退回好几次了
已经有7人回复
真诚求助:手里的省社科项目结项要求主持人一篇中文核心,有什么渠道能发核心吗
已经有8人回复
寻求一种能扛住强氧化性腐蚀性的容器密封件
已经有5人回复
请问哪里可以有青B申请的本子可以借鉴一下。
已经有4人回复
请问下大家为什么这个铃木偶联几乎不反应呢
已经有5人回复
天津工业大学郑柳春团队欢迎化学化工、高分子化学或有机合成方向的博士生和硕士生加入
已经有4人回复
康复大学泰山学者周祺惠团队招收博士研究生
已经有6人回复
AI论文写作工具:是科研加速器还是学术作弊器?
已经有3人回复
» 本主题相关商家推荐: (我也要在这里推广)
» 本主题相关价值贴推荐,对您同样有帮助:
《读懂天然产物系列》-27-天然产物在农业上的“平凡之路”
已经有429人回复
《读懂天然产物系列》-21-无用之用,方为大用?
已经有199人回复
《读懂天然产物系列》-19-天然产物发现之路,你走了多远
已经有134人回复
《读懂天然产物系列》第二季开帖篇(该系列 2016.01.02 已更新至第28帖)
已经有612人回复
《读懂天然产物系列》-13-中国化学会第十届全国天然有机化学学术会议风采展示
已经有629人回复
《读懂天然产物系列》-6- 植物源农药先驱,“除虫大师”--印楝篇
已经有92人回复
《读懂天然产物系列》-5-”面朝大海,不只花开“-读一篇”龙“形天然产物文献
已经有558人回复
跟大家推荐个淘帖 《读懂天然产物系列》
已经有1人回复
《读懂天然产物系列》-3 中涉及的文献
已经有12人回复
mrdone.0907
金虫 (正式写手)
- PhEPI: 1
- 应助: 21 (小学生)
- 金币: 817.5
- 散金: 104
- 红花: 16
- 帖子: 556
- 在线: 161.4小时
- 虫号: 868670
- 注册: 2009-10-11
- 性别: GG
- 专业: 海洋药物
★ ★ ★ ★ ★ ★ ★ ★ ★ ★ ★
小木虫: 金币+0.5, 给个红包,谢谢回帖
wangkaibo123: 金币+10, 欢迎大胆质疑 2014-10-16 22:09:36
欲飞无界: 回帖置顶 2014-10-16 22:13:34
小木虫: 金币+0.5, 给个红包,谢谢回帖
wangkaibo123: 金币+10, 欢迎大胆质疑 2014-10-16 22:09:36
欲飞无界: 回帖置顶 2014-10-16 22:13:34
|
文章看了看,疑点如下: 1.首先我非常诧异这篇文章发在 angew 上,仅仅依靠“不多见”的“Bridgehead Double Bond” 作卖点,以及“anti-Bredt rule” 就能上angew,况且桥头双键的天然产物这个不是首例,所以能上这个德国应用化学杂志我还是非常震惊的,这构思写作能力,我只能膜拜。 2.化合物测肿瘤活性,居然没有设置positive control ,这个你说在10年前,我能接受,但是在2014年,我还是觉得很不妥啊,没positive control 现在投 JNP 都是要返修补上去,这点显示这个活性做得不专业。 3.大环二萜真的很多,这个结构无论从化合物数量,结构特征、分离方法、绝对构型鉴定 还是活性方面,个人认为新颖度欠佳。 4.这篇paper题目下方有一句“Dedicated to Professor Armin de Meijere on the occasion of his 75th birthday” 我不知道这句话,对这篇文章是否产生了积极作用。 经过google,查到“Armin de Meijere” 1939: Born in Homberg (Niederrhein), Germany, May 18,的确是75岁大寿,国际上拿过很多奖,主页上最近的一项是“Novartis Lecturer in Central Europe, Novartis Pharma AG, Basel, Schweiz, 2006” ,paper很多,数据显示685篇,这个真是难以想象,看来真是一个在国际上很有影响力的化学家,所以……我想…… 附:带着这么多疑点,我又查阅了下文章通讯作者的背景:Dr. Craig M. Williams,School of Chemistry and Molecular Biosciences University of Queensland. Research Theme(s): Natural Product Total Synthesis and Molecular Design 查阅了该课题组上的publications:2006年发过一篇Angew. Chem. Int. Ed. 45, 2929-2934. 2008年发过一篇 J. Am. Chem. Soc. 130, 15262-15263,2009年有一篇 J. Am. Chem. Soc. 131, 8329.然后就是今年这篇 angew,课题组文章很多,但是级别达不到在angew JACS 上随便灌水的水平。而且这几篇大作,3篇是“天然产物全合成”类别,不是传统的天然产物提取分离机构鉴定领域,其中J. Am. Chem. Soc. 130, 15262-15263 题目是“Structure and Absolute Stereochemistry of the Anticancer Agent EBC-23 from the Australian Rainforest”,也是先分离化合物定了相对构型,接着全合成,完美高端完成绝对构型鉴定,因为是全合成,导致文章档次上升。大家都知道,仅仅依靠提取分离,结构鉴定能在angew JACS 上表的文章,凤毛麟角。 但是这篇文章仅仅一个桥头双键的二萜,发了angew ,除了诧异,我认为最大亮点之一可能是文章的写作,设局非常好,被其牵着鼻子走。 以上观点,仅仅代表个人臆想,欢迎拍砖 ![]() |

13楼2014-10-16 21:46:09
欲飞无界
新虫 (小有名气)
- PhEPI: 1
- 应助: 25 (小学生)
- 金币: 4894.3
- 红花: 9
- 帖子: 186
- 在线: 64.5小时
- 虫号: 1461466
- 注册: 2011-10-26
- 专业: 天然药物化学
14楼2014-10-16 22:13:30
wangkaibo123
荣誉版主 (职业作家)
kerry
-

专家经验: +726 - PhEPI: 3
- 应助: 1928 (讲师)
- 贵宾: 0.598
- 金币: 7869.1
- 散金: 10156
- 红花: 100
- 帖子: 3780
- 在线: 1007.1小时
- 虫号: 2088618
- 注册: 2012-10-26
- 性别: GG
- 专业: 抗肿瘤药物药理
- 管辖: 药学
★
小木虫: 金币+0.5, 给个红包,谢谢回帖
欲飞无界: 回帖置顶 2014-10-16 22:48:55
小木虫: 金币+0.5, 给个红包,谢谢回帖
欲飞无界: 回帖置顶 2014-10-16 22:48:55
|
樱木绝对是有心之人啊,看文献之迅速,评论之犀利,这一点是我们这些人难以企及的。文章的确有不少疑点,没有阳性对照药,毫无疑问让人对活性结果产生莫大的质疑。桥头C我自己不了解,也不多加评论。总体感觉,文章是Australia 的,他们本身就比我们有优势,再者就是你说的,这文章是一篇dedicated,这在很大程度上促进了文章的发表,75岁大寿,还是很重要的,况且还是大牛,应该在angew上贡献不少吧,相当于礼让人情?或者就是主编什么的正好是熟人?科研也没有绝对的公平,没有强硬的后台还是努力自己拼搏吧,我不抱怨,人家能发表就是实力!!! |

15楼2014-10-16 22:19:04
★ ★ ★ ★ ★ ★
小木虫: 金币+0.5, 给个红包,谢谢回帖
欲飞无界: 回帖置顶 2014-10-17 14:49:14
wangkaibo123: 金币+5, 观点不错,值得鼓励啊 2014-10-17 20:10:22
小木虫: 金币+0.5, 给个红包,谢谢回帖
欲飞无界: 回帖置顶 2014-10-17 14:49:14
wangkaibo123: 金币+5, 观点不错,值得鼓励啊 2014-10-17 20:10:22
| 杂志是否接收一篇文章,主要看这篇文章构思得好不好,写作水平好不好,对我们杂志社有没有正面的积极作用,对于里面的数据、基础实验的设计是否存在问题,编辑普遍似乎不太在意,就像nuture接收了小保方晴子的那篇文章,编辑觉得这篇文章很有价值很有意义,在社会上很有影响力,但对她的实验数据实验设计则不太在乎,毕竟他们认为"实验结果有误的话,那是投稿者的责任,不是我们杂志社的责任,我们杂志社也是无辜的受害者“,再如柳叶刀也频繁刊出一些数据不真实的文章,再如近几年四面体刊的一些文章也没有附上SI |
19楼2014-10-17 10:48:48
欲飞无界
新虫 (小有名气)
- PhEPI: 1
- 应助: 25 (小学生)
- 金币: 4894.3
- 红花: 9
- 帖子: 186
- 在线: 64.5小时
- 虫号: 1461466
- 注册: 2011-10-26
- 专业: 天然药物化学
21楼2014-10-17 14:49:02
27楼2014-10-19 10:16:36
gwnumber1
至尊木虫 (正式写手)
- PhEPI: 1
- 应助: 7 (幼儿园)
- 金币: 12908.6
- 帖子: 762
- 在线: 445.1小时
- 虫号: 1653340
- 注册: 2012-02-29
- 性别: GG
- 专业: 天然有机化学
6楼2014-10-16 20:13:24
hukun100
木虫 (正式写手)
- PhEPI: 8
- 应助: 44 (小学生)
- 金币: 4077.6
- 散金: 2803
- 红花: 83
- 帖子: 941
- 在线: 787小时
- 虫号: 1238288
- 注册: 2011-03-19
- 性别: GG
- 专业: 天然药物化学
2楼2014-10-16 19:33:41
wangkaibo123
荣誉版主 (职业作家)
kerry
-

专家经验: +726 - PhEPI: 3
- 应助: 1928 (讲师)
- 贵宾: 0.598
- 金币: 7869.1
- 散金: 10156
- 红花: 100
- 帖子: 3780
- 在线: 1007.1小时
- 虫号: 2088618
- 注册: 2012-10-26
- 性别: GG
- 专业: 抗肿瘤药物药理
- 管辖: 药学

3楼2014-10-16 19:36:00
allen.tsui
金虫 (正式写手)
- PhEPI: 1
- 应助: 23 (小学生)
- 金币: 885.5
- 散金: 2868
- 红花: 24
- 帖子: 647
- 在线: 1040.9小时
- 虫号: 1214590
- 注册: 2011-02-26
- 性别: GG
- 专业: 天然药物化学
4楼2014-10-16 19:48:13
海子6987
捐助贵宾 (著名写手)
夜郎倒骑黔驴
- 应助: 253 (大学生)
- 金币: 5972.8
- 散金: 222
- 红花: 32
- 帖子: 2678
- 在线: 251.3小时
- 虫号: 655476
- 注册: 2008-11-16
- 性别: GG
- 专业: 合成药物化学

5楼2014-10-16 20:07:54
mrdone.0907
金虫 (正式写手)
- PhEPI: 1
- 应助: 21 (小学生)
- 金币: 817.5
- 散金: 104
- 红花: 16
- 帖子: 556
- 在线: 161.4小时
- 虫号: 868670
- 注册: 2009-10-11
- 性别: GG
- 专业: 海洋药物

7楼2014-10-16 20:20:22
牡丹汤
木虫 (小有名气)
- 应助: 36 (小学生)
- 金币: 3958.2
- 红花: 1
- 帖子: 195
- 在线: 254.6小时
- 虫号: 1927310
- 注册: 2012-08-06
- 性别: GG
- 专业: 中药药效物质
8楼2014-10-16 20:21:44
笑多会怀孕
铁杆木虫 (著名写手)
- 应助: 1216 (讲师)
- 金币: 9782.3
- 散金: 610
- 红花: 40
- 沙发: 3
- 帖子: 2721
- 在线: 1284.6小时
- 虫号: 2010893
- 注册: 2012-09-18
- 性别: GG
- 专业: 天然有机化学
9楼2014-10-16 20:48:29
cz12061206
铁杆木虫 (著名写手)
- 应助: 19 (小学生)
- 金币: 6628.9
- 散金: 146
- 红花: 6
- 沙发: 1
- 帖子: 1426
- 在线: 830.4小时
- 虫号: 989322
- 注册: 2010-04-05
- 性别: GG
- 专业: 药物化学

10楼2014-10-16 20:51:17













回复此楼
hukun100

沙发,稳妥妥的!先看完,再评论!
沙发没了